the Creative Commons Attribution 4.0 License.
the Creative Commons Attribution 4.0 License.
Soil health approaches to assess the impacts of no-tillage with agricultural terraces in southern Brazil
Ariane Lentice de Paula
Luis Miguel Schiebelbein
Regiane Kazmierczak Becker
Eduardo Augusto Agnellos Barbosa
Fabrício Tondello Barbosa
Carolina Weigert Galvão
Rafael Mazer Etto
Heverton Fernando Melo
Adriel Ferreira da Fonseca
Neyde Fabiola Balarezo Giarola
Soil health assessment depends on the appropriate selection of indicators and robust, sensitive methods for its determination. In this study, four integrative approaches were evaluated to assess the impacts of no-till systems with and without agricultural terraces on soil health in Southern Brazil. The different methods used were: (1) Principal Component Analysis (PCA); (2) expert opinion (EO); (3) Soil Fertility and Biology approach (FERTBIO), based on the Soil Bioanalysis framework; and (4) Soil Management Assessment Framework (SMAF). All approaches followed four steps: (i) selection of indicators; (ii) interpretation of indicators; (iii) integration of indicators; and (iv) calculation of soil health indices. The methods varied in the steps of indicator selection, interpretation, and the approach to indicator integration. The indicators used included physical (bulk density, total porosity, soil penetration resistance, and water retention capacity), chemical (pH, calcium, phosphorus, potassium, organic matter, CEC, and base saturation), and biological indicators (microbial biomass carbon, β-glucosidase, and arylsulfatase). Crop yield was evaluated for maize (2019/2020 and 2021/2022 harvests), wheat (2021 harvest), and soybean (2020/2021 harvest). Descriptive statistics, median comparisons, principal component analysis, and Spearman correlation analysis were applied to analyze the results. The results showed that only the EO and FERTBIO approaches were sensitive enough to detect differences in soil health between management systems, indicating that no-till with terraces resulted in better soil health. Biological indicators were more sensitive in differentiating treatments, showing a rapid response in the short term. Maize (2019/2020 harvest) and wheat (2021 harvest) yields were higher under the no-till with terraces treatment. Over time, crop yield showed a stronger relationship with soil health. The results highlight the importance of selecting appropriate indicators for soil health assessment and reinforce the benefits of agricultural terracing for the sustainability of production systems.
- Article
(3518 KB) - Full-text XML
-
Supplement
(446 KB) - BibTeX
- EndNote
Soil is the foundation of terrestrial ecosystems, playing a crucial role in agricultural sustainability, the maintenance of natural resources, and environmental quality (Doran and Zeiss, 2000; Hartmann et al., 2015). Its integrity determines the ability to provide essential nutrients to plants, sustain food chains, and promote ecosystem stability (Lal, 2009). Healthy and biologically active soils not only support agricultural productivity but also contribute to environmental resilience and global food security (FAO, 2015). Soil health refers to its functional capacity as a dynamic and living ecosystem that supports plant and animal productivity, regulates water and air quality, and contributes to environmental stability (Doran et al., 1996). However, this condition is directly influenced by management practices and can be preserved or degraded depending on human interventions (USDA, 2023). Maintaining soil health aligns with various UN Sustainable Development Goals and the One Health concept (Banerjee and van der Heijden, 2023).
Soil health assessment involves multiple interactions among physical, chemical, and biological components. Approaches that generate indices sensitive to soil use and management changes are employed to quantify its functionality and sustainability (Andrews et al., 2004; Bünemann et al., 2018; Doran and Zeiss, 2000; Simon et al., 2022). Systematic measurements of these indicators support strategies to conserve productivity and environmental quality (Andrews and Carroll, 2001; Obade et al., 2014).
Soil health approaches can generate specific or integrated indices. Specific indices assess physical, chemical, and biological attributes separately. While useful for understanding individual soil aspects, specific indices may not fully capture interactions among components. For a more comprehensive approach, tests combining multiple indicators generate integrated soil health indices (SHIs), allowing for a holistic evaluation of soil conditions and agricultural sustainability (Cherubin et al., 2016a; Lima et al., 2024; Luz et al., 2019).
The Soil Management Assessment Framework (SMAF) is an example of a framework generating an integrated index capable of providing a quantitative and standardized soil health assessment across agricultural contexts (Andrews et al., 2004). Its effectiveness in comparing management systems and identifying practices that promote sustainability has encouraged its use (Becker et al., 2024, 2025; Cherubin et al., 2016b, 2017, 2021; Jimenez et al., 2022; Lima et al., 2024; Lisboa et al., 2019; Luz et al., 2019; Matos et al., 2022; Pereira et al., 2024; Ruiz et al., 2020). Other approaches used to generate integrated soil health indices include Principal Component Analysis (PCA) and expert opinion (EO). PCA is a statistical technique that reduces data dimensionality and identifies the main factors contributing to soil quality variability (Andrews et al., 2002; Marion et al., 2022; Shukla et al., 2006). EO relies on technical knowledge and experience to select and weigh indicators, allowing for an evaluation tailored to specific management and environmental conditions (Andrews et al., 2004; Barrios, 2007). Among the available approaches, the Soil Fertility and Biology (FERTBIO) sampling concept is embedded within Embrapa's Soil Bioanalysis Technology (SoilBio) framework, which integrates soil enzyme activities (e.g., arylsulfatase and β-glucosidase) and organic matter content as early-warning indicators of soil biological functioning and overall soil health (Mendes et al., 2024). In Brazil, this approach was developed to explicitly account for interactions between nutrient dynamics and microbial activity, providing a more comprehensive assessment of soil condition under agricultural systems. Previous studies have demonstrated its effectiveness in detecting soil health changes associated with contrasting management practices (Mendes et al., 2021a, b).
Soil health indices may exhibit limitations that affect their sensitivity during assessment. Differences in indicator selection, weighting criteria, and scoring algorithms can lead to variability in index performance. Some frameworks do not include key physical indicators, whereas others rely solely on statistical procedures, which may weaken the representation of essential soil functions. Additionally, factors such as climatic variability and the slow response of certain soil attributes may not be fully captured, limiting the ability of these indices to detect short-term changes (Masto et al., 2008; Bünemann et al., 2018; Marion et al.,2022). These limitations highlight the importance of applying multiple assessment approaches to obtain more robust and reliable evaluations of soil health.
Conservation systems, compared to conventional agriculture, promote better soil conditions, leading to increased carbon sequestration, improved water retention capacity, and a more active and diverse microbial community (Gattinger et al., 2012; Gomiero et al., 2011; Lori et al., 2017; Tuck et al., 2014). In Brazil, no-till is widely adopted to preserve soil structure, improve moisture retention, and reduce erosion (Derpsch et al., 2010; Possamai et al., 2022; Telles et al., 2019; Wen et al., 2023). Given Brazil's leadership in agriculture and the widespread adoption of no-tillage, which is applied to 33 million hectares of the country's cropland (Fuentes-Llanillo et al., 2021), but which alone is not sufficient to control soil loss on sloping lands (Merten et al. 2015), soil erosion remains an ongoing challenge, especially in areas with rugged terrain. Conservation techniques such as no-till and terracing have been essential strategies to mitigate soil degradation and improve agricultural sustainability in the region (Merten et al., 2015).
Although terracing in no-till systems is widely recognized for reducing erosion and improving water infiltration (Fuentes-Guevara et al., 2024; Lal, 2020; Panagos et al., 2015), their effects on soil health under subtropical field conditions remain poorly understood, despite the availability of multiple assessment methods. Moreover, no study has directly compared the sensitivity of different soil health approaches in detecting short-term impacts of terracing in subtropical no-till systems. Therefore, this study aims to comparatively evaluate the performance and sensitivity of four integrative soil health assessment approaches in detecting short-term changes, using agricultural terracing under no-till management as a field-based case study in southern Brazil, and to identify the most responsive soil health indicators for monitoring these systems.
2.1 Location and characterization of the experimental site
The experimental field belongs to the State University of Ponta Grossa (UEPG) and is located in Ponta Grossa, Paraná, Brazil, at 25°05′49′′ S, 50°02′42′′ W, with an altitude of 1015 m (Fig. 1). The predominant climate is Cfb (Köppen), a humid subtropical climate with mild summers, no dry season, and frequent, severe frosts (Alvares et al., 2013). The experiment was conducted entirely under rainfed conditions throughout the entire study period. The soil in the study area was classified as a Latossolo Vermelho-Amarelo distrófico (Santos et al., 2018) or Dystrophic Typic Hapludox (Soil Survey Staff, 2014), with a sandy clay loam texture (Table 1).
Table 1Soil granulometry of the experimental mega-plots.
NT = No-till; NT+T = No-till with terraces; average values of 36 sample points.
In the 1980s, conventional tillage predominated in the study area for grain cultivation, employing mechanical conservation practices (terraces) to control erosion and conserve water. In the early 1990s, the area transitioned to no-till with occasional subsoiling, and the terraces were removed. In 2018, this experiment was initiated with the surface application of 2.3 t ha−1 of limestone, followed by soil subsoiling to a depth of 0.3 m. Finally, the experiment was set up with two mega-plots, both maintained under no-till: (1) no-till (NT) and (2) no-till with terraces (NT+T). Within each mega-plot, a regular grid of 36 georeferenced sampling points (n=36) was established for soil sampling. These points represent spatial observations within each management condition rather than independent experimental replicates. Soil sampling was carried out between May and June in the years 2020, 2021, and 2022.
Annual cycle species were cultivated according to the most common management practices and crop sequence in the region: soybean (Glycine max) and maize (Zea mays) in the summer, and wheat (Triticum aestivum) and black oat (Avena strigosa) in the winter.
2.2 Soil properties analyses
Twenty-six soil indicators were used to compose the different SHIs over the years 2020, 2021, and 2022. The methods used for the determination of soil indicators: bulk density (BD), total porosity (TP), macroporosity (Macro), microporosity (Micro), field capacity (FC; volumetric water content at field capacity), permanent wilting point (PWP), plant available water (PAW), soil water storage capacity (SWSC), soil aeration capacity (SAC), soil penetration resistance (SPR), pH(H2O), pH(CaCl2), aluminum (Al), calcium (Ca), magnesium (Mg), potassium (K), available phosphorus (P), cation exchange capacity (CEC), cation exchange capacity at pH 7.0 (CECpH7.0), sum of bases (SB), base saturation (BS), soil organic carbon (OC), soil organic matter (SOM), microbial biomass carbon (MBC), beta-glucosidase enzyme activity (BG), and arylsulfatase enzyme activity (A) are presented in Table S1 in the Supplement.
2.3 Procedures for determining Soil Health Indices (SHIs)
The approaches used to determine the SHIs followed three steps: (i) indicator selection; (ii) indicator interpretation; and (iii) indicator integration (Cherubin et al., 2016a) (Fig. 2). The specifics of each step using the different approaches are detailed below.
2.3.1 Step 1: indicator selection
PCA was used to mitigate subjectivity in the selection of indicators, with the aid of the FactoMineR package (Lê et al., 2008). Principal components (PCs) with eigenvalues > 1 % were considered, following Kaiser's criterion. Within each PC, only variables with high factor loadings were selected (with 10 % as the absolute value of the factor loading). In cases where multiple variables were selected within a PC, a Spearman correlation analysis (r≥0.80) was performed to identify and eliminate redundant variables in determining the SHI (Gu et al., 2019). If a high correlation between indicators was detected, the indicator with the highest weight within the PC was prioritized.
In the EO approach, indicator selection was guided solely by prior technical expertise and evidence from the scientific literature concerning the sensitivity and functional relevance of physical, chemical, and biological soil indicators. No data-driven criteria were applied in this selection step. This selection prioritizes the indicators that are most sensitive to variations in soil function and those that are easier to determine in the field or laboratory and to interpret. In the case of FERTBIO, the indicators are those proposed by Mendes et al. (2021b). For the SMAF, the indicators that best represent soil functions proposed by Andrews et al. (2004), Stott et al. (2010), and Wienhold et al. (2009) were selected.
2.3.2 Step 2: indicator interpretation
For the SHI_PCA and SHI_EO indices, the determination was conducted according to the methodology proposed by Karlen and Stott (1994). All selected indicators were transformed and standardized on scales ranging from 0 to 1, using the non-linear scoring standardization equation, as described by Wymore (1993):
where, Score: standardized value of the indicator; B: critical value of the indicator with a score equal to 0.5; L: lower limit of the indicator; S: slope of the tangent of the curve; x: measured value of the indicator. The limits are presented in Table 2.
Table 2Limits for soil health indicators and scoring curves.
BD: Bulk Density; TP: Total Porosity; SPR: Soil Penetration Resistance; SWSC: Soil Water Storage Capacity; P: Available Phosphorous; K: Exchangeable Potassium; Ca: Exchangeable Calcium; CECpH7.0: Cation Exchange Capacity at pH 7.0; BS: Base saturation; OC: Organic Carbon; MBC: Microbial Carbon Biomass; BG: Beta-glucosidase Activity. A: Arylsulfatase activity.
According to Karlen and Stott (1994), soil indicators can be standardized using “more is better”, “optimal value”, and “less is better” curves (Fig. S1 in the Supplement). For each curve, the slope of the tangent was calculated as described by Wymore (1993).
For SHI_FERTBIO, the interpretation of the indicators was also based on Karlen and Stott 1994) and on the equations of Wymore (1993). However, the calculations were performed using the Soil Quality Interpretation Module (MIQS) contained in the BioAS technology (Mendes et al., 2021b). For SHI_SMAF, the indicators were standardized according to the algorithms previously published (Andrews et al., 2004; Stott et al., 2010; Wienhold et al., 2009) (Table S2).
2.3.3 Step 3: indicator integration
For SHI_SMAF, the integration was performed using the simple additive method. For the others, the integration was performed using the weighted additive method, with varying the weight factors. SHI_PCA was integrated using the eigenvalue weights; in SHI_FERTBIO, the process followed the procedure described by Mendes et al. (2021b).
The SHI_EO was integrated using the covariance matrix weights, in a manner based on the approaches described by Manly (2008) and Jolliffe (2002) for different multivariate analysis methods. The SHI_EO integration method consisted of an analysis of the proportional contribution of variables to a composite index, ensuring that the integration step reflects the variability observed in the dataset while keeping the selection step independent of the data. The index I is equivalent to the sum of the individual values of the variables () for each point, where in this case the value of wi is equal to one for all variables and the value of xi ranges from 0 to 1; thus, the scale effect of the variables can be disregarded. Therefore, the index I can be considered as a linear function of the individual indicators of the variables used, and covariance is one ways of assessing the association between the variations observed in the I-index and the variations observed in the variables used to estimate it.
From this, we calculated the covariance between the values of xi and I, () where xij and Ij are the values of the variables xi and I for point j, deducted from their respective mean values to obtain the total joint variability, which measures the total contribution of the xi variables to the total variation of the I index. Because covariance is linear, the sum reflects the combined joint variation of the variables with the I index.
The coefficient of proportionality (pi) for each variable is given by (), which reflects the contribution of variable xi to the total variation of index I, and also ensures that . Thus, the SHI-EO value for each point was calculated from ().
2.4 Crop yields
Sampling for yield determination of maize (2019/2020 and 2021/2022 harvests), wheat (2021 harvest), and soybean (2020/2021 harvest) was carried out at 36 sampling points, following the methodology described by Bach et al. (2020).
2.5 Statistical analyses
Statistical differences were analyzed using the Wilcoxon test (p<0.01, p<0.05 and p<0.10). Principal Component Analysis (PCA) was used to select indicators, as well as to evaluate the relationship between SHI scores and productivity (p<0.05). Spearman correlation analysis was used to reduce the number of indicators after their initial selection by PCA. The comparison among the SHIs was performed using the Kruskal–Wallis test, followed by the Dunn test for multiple comparisons. All statistical analyses were conducted in R software, version 4.2.3.(R Development Core Team, 2023).
3.1 Soil indicators
The patterns associated agricultural terracing were assessed by monitoring individual indicators over multiple years (Table S3). In 2020, the NT+T treatment exhibited higher values of SPR, SWSC, K, MBC, and BG, and lower levels of P, Ca, CEC, OC, SOM, and A compared to NT. In 2021, NT+T continued to show elevated SPR, SWSC, and K, along with reduced P and A. Additionally, Mg increased and pH(CaCl2) decreased relative to NT. In that year, CEC also became higher and BG lower in NT+T than in NT. By 2022, SPR remained consistently higher and pH(CaCl2) lower in NT+T, as observed in previous years. Notably, OC, SOM, and A – which were lower in NT+T in 2020 – became higher after two years. In contrast, MBC and BG, initially higher in NT+T, showed lower values than NT by 2022.
3.2 Selection indicators
Given the variability in indicator behavior, and to better assess the effects of terracing over time, the indicators were integrated into four soil health indices, each with specific criteria for selection, interpretation, and integration (Fig. 2). For SHI_PCA, principal component analysis resulted in the selection of five principal components, which explained 71.69 % of the variability in the data (Table S4). After Spearman's correlation analysis (Fig. S2), considering the correlation within each principal component (r≥0.80), the dataset was reduced to eight indicators: (a) physical: BD, TP, SWSC; (b) chemical: Ca, P, CECpH7.0, BS; (c) biological: MBC. For SHI_EO, nine indicators were selected, three from each group: physical (BD, SPR, and SWSC), chemical (pH(CaCl2, P, and K), and biological (OC, BG, and A). For SHI_FERTBIO, the index is composed of chemical (FERT) and biological (BIO) indicators represented by three soil functions: the soil capacity to recycle nutrients (BG, A); the soil capacity to store nutrients (SOM, CEC) and the soil capacity to supply nutrients (pHH2O, H + Al, Al, Ca, Mg, K, P, BS and SB). For SHI-SMAF, the dataset covered was physical (BD, SWSC), chemical (pH(H2O), K, P) and biological (OC, MBC, BG) indicators.
3.3 Performance of integrated indices in soil health assessment
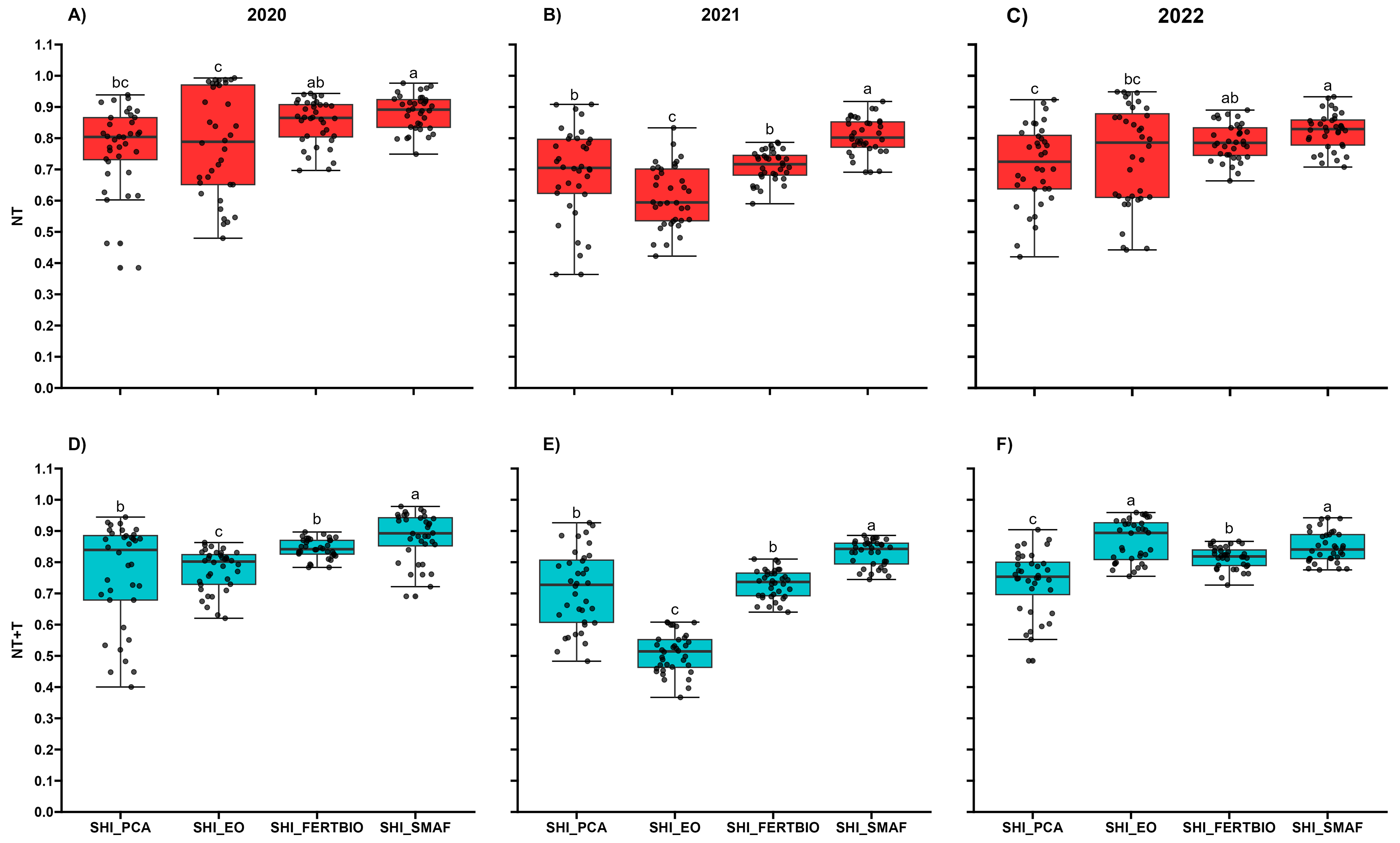
The comparison of soil health indices using the four strategies showed significant differences (Fig. 3). It is noteworthy that SHI_PCA and SHI_EO exhibit greater variability in their datasets, with lower scores compared to SHI_SMAF. SHI_SMAF and SHI_FERTBIO showed less variation in scores, resulting in better homogenization of the datasets.
Figure 3SMAF consistently showed the highest scores in soil health assessment over the three years of evaluation. Box plots of soil health indices – SHI_PCA, SHI_EO, SHI_FERTBIO, and SHI_SMAF – measured in 2020 (a, d), 2021 (b, e), and 2022 (c, f) for mega-plots managed under no-till (NT) (a–c) and no-till with terraces (NT+T) (d–f). Different letters indicate statistically significant differences among SHI values within the same year and treatment, according to the Kruskal–Wallis test followed by Dunn test (p<0.05).
3.4 The effect of agricultural terracing on soil health
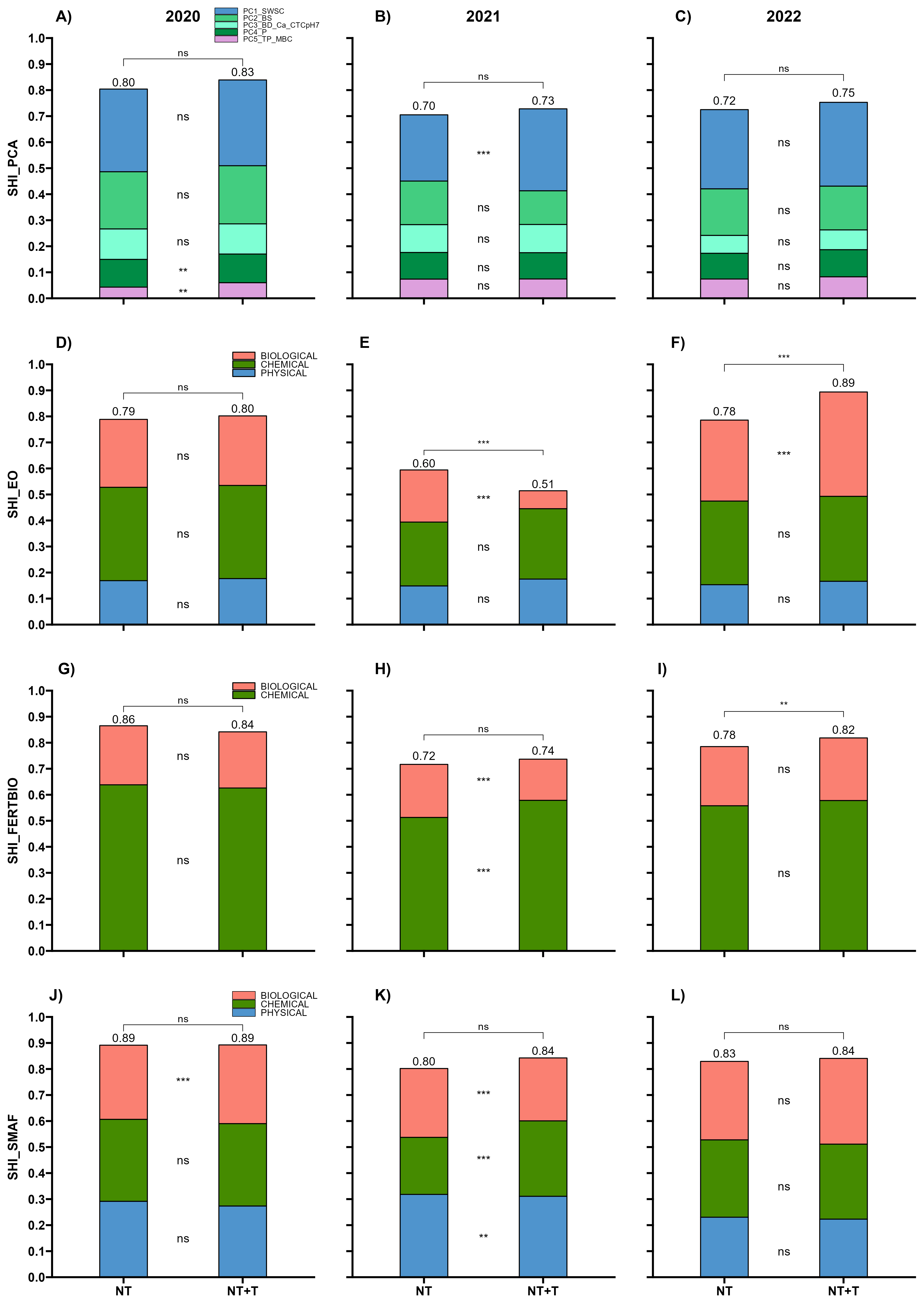
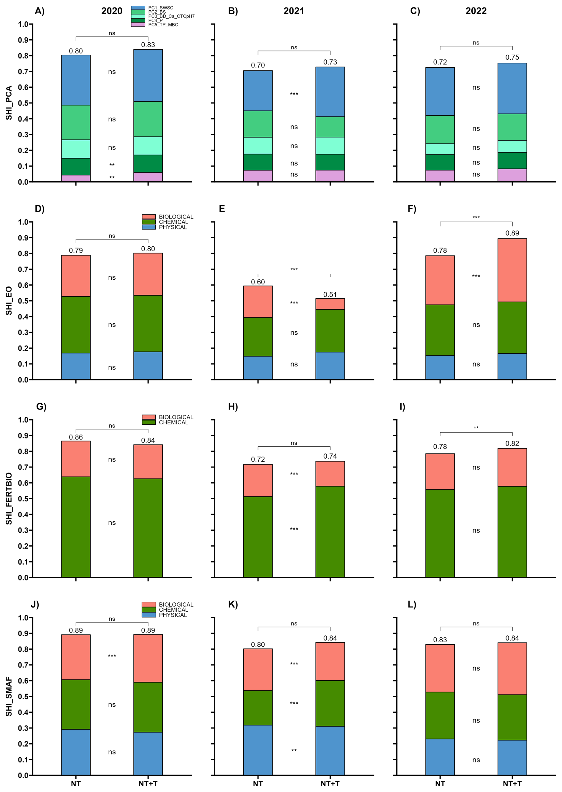
Among the four soil health indices (SHI) evaluated, only two – SHI_EO and SHI_FERTBIO – detected significant differences between the two field management conditions (NT and NT+T) (Fig. 4). SHI_EO showed differences in 2021 and 2022, with a lower score for NT+T (0.51) compared to NT (0.59) in 2021. However, this trend reversed in 2022, when NT+T had a higher score (0.89) than NT (0.79). Similarly, SHI_FERTBIO indicated a higher value for NT+T (0.82) than for NT (0.78) in 2022. To better understand the variation in SHI performance, the indices were further decomposed into their respective components, including principal components and physical, chemical, and biological sub-indices.
Figure 4Soil Health Indices based on expert opinion (SHI_EO) and FERTBIO (SHI_FERTBIO) distinguished no-till (NT) between no-till with terraces (NT+T) plots, primarily due to differences in biological indicators. The graphs display the medians of four Soil Health Indices: SHI_PCA (a–c), SHI_EO (d–f), SHI_FERTBIO (g–i), and SHI_SMAF (j–l), assessed in 2020 (a, d, g, j), 2021 (b, e, h, k), and 2022 (c, f, i, l) for the NT and NT+T treatments. In addition to the integrated SHI values, the graphs also present their decomposition into respective components, including principal components of SHI_PCA (a–c) and physical, chemical, and biological sub-indices of the other three SHI tested (e–l). Asterisks indicate statistically significant differences between treatment medians according to the Wilcoxon test at the 1 % (), 5 % (), and 10 % (*) significance levels; ns: not significant. Medians are based on 36 biological replicates.
In the decomposition of SHI_PCA into its principal components, NT+T exhibited higher scores in 2020 for PC4 and PC5, which were primarily represented by TP and MBC (PC4), and by P (PC5). Although MBC showed higher values in NT (Table S3), its eigenvalue was lower than that of TP, meaning TP contributed more strongly to the component score. This resulted in higher overall values in PC4 for NT+T. In 2021, T showed higher scores in PC1, mainly associated with SWSC – a variable that consistently exhibited higher values under NT+T throughout the study period (Table S3).
The decomposition of SHI_EO into physical, chemical, and biological indicators revealed significant differences between treatments only in the biological index. In 2021, the biological index was lower in NT+T compared to NT, whereas in 2022, it was higher in NT+T. For SHI_FERTBIO, significant differences in chemical and biological indices were observed only in 2021, with NT+T showing a higher chemical index and a lower biological index than NT.
SHI_SMAF decomposition revealed differences in both 2020 and 2021. In 2020, only the biological index differed, with NT+T showing higher values. However, in 2021, significant differences were observed across all indices: NT+T had higher physical and chemical scores, but a lower biological index compared to NT. This lower biological performance in NT+T in 2021 was consistently detected by three indices – SHI_EO, SHI_FERTBIO, and SHI_SMAF. Notably, the only biological indicator common to all three indices is BG.
3.5 Crop yield and relations with soil health indexes
Crop yields under NT and NT+T over the years 2020, 2021, and 2022 are shown in Fig. 5. It can be observed that, in the 2019/2020 maize harvest and the 2021 wheat harvest, the NT+T treatment resulted in higher yields compared to NT. For the other harvests, no significant differences were observed between the treatments.
Figure 5Maize yield (2019/2020 harvest) and wheat yield (2021 harvest) were higher in the no-tillage with terraces (NT+T). The graphs show the median yields of the four harvests that took place in the years 2020, 2021, and 2022: (a) Maize – 2019/2020 Harvest, (b) Wheat – 2021 Harvest, (c) Soybean – 2020/2021 Harvest and (d) Maize – 2021/2022 Harvest. Asterisks indicate statistically significant differences between treatment medians according to the Wilcoxon test at the 1 % (), 5 % (), and 10 % (*) significance levels; ns: not significant. Medians are based on 36 biological replicates.
Analyzing the SHIs alongside crop productivity over the years 2020, 2021, and 2022 reveals a gradual separation between treatments along the first principal component (Dim1), with the most distinct separation observed in 2022 (Fig. 6). The SHIs show strong correlations with each other. Regarding crop performance, maize productivity in 2020 showed a weaker correlation with the indices. In 2021, wheat exhibited higher productivity under the NT+T, with a stronger association with the SHIs. In 2022, maize productivity was more closely aligned with the indices.
Figure 6Principal component analysis (PCA) of soil health indices (SHI_PCA, SHI_EO, SHI_FERTBIO, and SHI_SMAF) and crop yield under no-till (NT) and no-till with terraces (NT+T) for the years 2020 (a), 2021 (b), and 2022 (c). In 2022, NT+T enhanced soil health indices and strengthened their association with crop productivity under the evaluated field conditions. Differences were statistically significant (p<0.05; 999 permutations).
The approaches used to select the indicators that comprise the SHIs resulted in the selection of different indicators, which can influence the accuracy of the soil health status assessment through the indices. Selection using PCA is widely used in the literature (Marion et al., 2022; Mukherjee and Lal, 2014; Yu et al., 2023), because it allows for the identification and selection of indicators with greater weight and representativeness in the dataset. However, indicators that are more sensitive to changes in soil health may not be chosen (Mukherjee and Lal, 2014; Navas et al., 2011; Rossi et al., 2009).
The spatial variability observed in individual soil properties under agricultural terracing in no-till systems represents expected behavior, as it directly influences the dynamic responses of soil indicators, particularly biological indicators, followed by physical and chemical indicators, which generally respond more gradually to management changes (Cardoso et al., 2013; Masto et al., 2008; Bünemann et al., 2018). The contrasting responses observed across years reflect the progressive stabilization of soil structure, nutrient cycling, and microbial activity following the implementation of terraces, highlighting the importance of temporal evaluation for proper interpretation of soil health data (Reynolds et al., 2007; Nunes et al., 2021; Walder et al., 2023).
Expert opinion is a selection strategy that requires more in-depth knowledge of the performance of indicators in soil functions, based on published data and the consensus of the researchers involved. BD and SPR are associated with soil compaction (Reintam et al., 2009) and are easy to determine. The presence of compacted layers in agricultural areas is common, resulting from machine traffic or the natural process of soil particle settling (Hamza and Anderson, 2005). The SWSC represents the ideal balance between the water-holding capacity of the soil near the surface, recognizing that healthy root development depends on appropriate air and water storage limits in the soil (Reynolds et al., 2002). The chemical indicators (pH(CaCl2), P and K) are routinely determined in fertility analyses and are related to soil acidity and nutrient availability functions. Organic carbon, representing biological indicators, is a common indicator in soil health studies (Bünemann et al., 2018), due to its influence on ecosystem processes (Nunes et al., 2021). In southern Brazil, no-till farming is an important source of carbon for soils (Bernoux et al., 2005; Thomaz and Kurasz, 2023). BG is a ubiquitous enzyme in the environment, essential for decomposing organic matter and providing energy to soil microorganisms (Deng and Popova, 2011). Arylsulfatase is studied to investigate the mineralization of sulfur in the soil, as it participates in the sulfur cycle by, hydrolyzing sulfate ester bonds and releasing sulfate ions to microorganisms (Acosta-Martínez et al., 2007; Tabatabai and Bremner, 1970).
All the indicators selected for SHI_FERTBIO are linked to routine soil fertility analyses and functions and are aimed at proper management of fertilizer nutrients for soil health (Mendes et al., 2021b). However, the absence of indicators related to soil physical properties is a concern, as this may lead to a partial or inaccurate assessment of soil health (Yu et al., 2023; Bünemann et al., 2018). The authors acknowledge this absence but emphasize that biological indicators (OC, BG, and A) have a significant influence on physical properties. For SHI_SMAF, the selection of indicators focuses on those associated with the total or partial performance of soil functions and includes only those for which scoring curves have been developed and validated within the SMAF protocol (Andrews et al., 2004).
The differences in variability observed among the SHIs are directly related to the strategies used for their construction (Fig. 2). SHI_PCA and SHI_EO showed greater variability in the scores of their components. According to Jolliffe and Cadima (2016), PCA aims to reduce the dimensionality of a given dataset while preserving maximum variability. Therefore, the indices generated from the indicators selected through PCA are directly conditioned by the natural variability that occurs within the physical environment. Consequently, PCA may assign greater weight to the most sensitive indicators in the dataset, which does not necessarily imply a stronger relationship between these indicators and soil functioning (Rinot et al., 2019). SHI_EO, in turn, had its indicator weights assigned using the covariance matrix, which is based on the covariance between two variables within a dataset. Thus, variables with greater representativeness in the dataset will have higher covariance (Jolliffe, 2002). In other words, there should be a correlation between the variable and the final index to assess how much each variable influences the final index. In the SHI_FERTBIO and SHI_SMAF methods, the indicators are weighted using average values, with the adjustment obtained through pre-established proportions that are independent of the evaluated indicators' conditions (their natural variability). According to Marion et al. (2022), the weighting and standardization of the dataset maintain uniformity regardless of the study location or system. Thus, the PCA and EO indicators are more sensitive to local and environmental variations and, consequently, exhibit a greater range than the others.
In 2021, SHI_PCA, SHI_FERTBIO, and SHI_SMAF showed significant differences in their decomposed indices, although these differences were not reflected in the integrated SHI values (Fig. 3). Conversely, in 2022, SHI_FERTBIO displayed differences in the integrated SHI, but no significant variation was observed in its decomposed components. The only index that consistently captured differences between the two management conditions – both in its integrated and decomposed forms – was SHI_EO. In the studies by Cherubin et al. (2016a, b) and Marion et al. (2022), the strategy for determining SHI based on expert opinion proved effective in detecting differences between treatments, even with a reduced number of indicators. The authors emphasize that opting for simpler strategies may be more appropriate for decision-making, as they do not require a large dataset, as is the case with SHI_PCA. Martín-Sanz et al. (2022) found that the index generated by the indicators selected by PCA was unable to identify differences in soil health.
Overall, the biological index was the most sensitive in detecting differences between the two field management conditions. Of the 12 significant differences identified across all specific indices, six were biological, while three were chemical and three were physical. At the stage of determining the specific indices (Table 2) for the entire period evaluated, the biological indicators had already shown greater sensitivity in differentiating the management conditions. Biological indicators are dynamic and more susceptible to environmental changes. As such, they can signal any disturbance to the sustainability of the environment at an early stage (Cardoso et al., 2013; Masto et al., 2008).
Awareness of how changes in soil health affect crop productivity leads to efficient input use and increased agricultural production yields (Hemmati et al., 2022). Productivity is a critical plant biological indicator for sustainable management of agricultural areas. In this study, maize productivity in the 2019/2020 season and wheat productivity in the 2021 season were higher under the no-till with terraces plot (Fig. 5). However, in 2020, soil health indices did not yet clearly differentiate between the two management conditions, as it was the first year of evaluation post-homogenization of the area with subsoiling. Nevertheless, by 022, the indices showed a better correlation with each other and with productivity, as well as being associated with higher soil health values for the no-till with terraces plot (Fig. 6), reinforcing the consistency of the approaches and the association between soil health and crop performance in this field comparison. However, it must be acknowledged that the relationship between productivity and soil health can vary annually, influenced by factors such as climate, management practices, and crop type (Walder et al., 2023). This study underscores the importance of long-term experiments in areas with agricultural terracing to understand the potential improvements they may provide in soil health and agricultural productivity.
From a practical perspective, the results indicate that the SHI_EO and SHI_FERTBIO approaches require fewer indicators and simpler analytical frameworks, which enhance their scalability for use by farmers, researchers, and extension services. In contrast, SHI_PCA requires larger datasets, and SHI_SMAF demands more complex processing, which may limit their application outside research environments. Nevertheless, the methodological framework and the comparative behavior of the indices are transferable to other soil classes and regions, provided that indicator thresholds and scoring functions are locally calibrated.
We acknowledge that the results presented here are site-specific, since each management system was represented by a single megaplot and thus do not correspond to the effects of fully replicated treatments. Accordingly, the patterns described should be interpreted as observations from this particular field comparison rather than as generalizable treatment effects. Even so, the findings were satisfactory in revealing consistent temporal patterns and differences in the sensitivity of the evaluated soil health indices.
Four soil health approaches were evaluated in a field comparison of no-till systems with and without agricultural terraces, and variations among the approaches tests were observed. Among the approaches tested, SHI_EO and SHI_FERTBIO demonstrated greater sensitivity in detecting short-term changes in soil health. This sensitivity was mainly associated with biological indicators of soil health. In this field comparison, the no-till with terraces plot was associated with higher maize productivity in the 2019/2020 harvest and higher wheat productivity in the 2021 season. Crop productivity was associated with soil health indices, showing gradual alignment over the years under this management system. The results reinforce the importance of carefully selecting soil health assessment tools in order to address specific objectives, ranging from research questions to on-farm decision making.
The datasets and code used in this study are available from the corresponding author upon reasonable request.
The supplement related to this article is available online at https://doi.org/10.5194/soil-12-545-2026-supplement.
All authors contributed to the research and to the preparation of the manuscript. Conceptualization and Methodology: ALP, LMS, RKB, CWG, RME, NFBG. Review: ALP, CWG, HFM. Supervision: AFF, FTB, NFBG. All authors reviewed and commented on the previous version of the manuscript and approved the final version for publication.
The contact author has declared that none of the authors has any competing interests.
Publisher's note: Copernicus Publications remains neutral with regard to jurisdictional claims made in the text, published maps, institutional affiliations, or any other geographical representation in this paper. The authors bear the ultimate responsibility for providing appropriate place names. Views expressed in the text are those of the authors and do not necessarily reflect the views of the publisher.
The authors thank Ieda Carvalho Mendes for her assistance in obtaining the SHI_FERTBIO index. ChatGPT (https://chat.openai.com/, last access: 1 June 2025) was used for language assistance in the preparation of this manuscript.
This research has been supported by the Araucária Foundation (grant no. FA 302/2024) and NAPI-PROSOLO, with additional support from FAEP, SENAR-PR, and Paraná Network of Agricultural Research and Applied Training for the support.
This paper was edited by Luis Merino-Martín and reviewed by Zakir Hussain and one anonymous referee.
Acosta-Martínez, V., Cruz, L., Sotomayor-Ramírez, D., and Pérez-Alegría, L.: Enzyme activities as affected by soil properties and land use in a tropical watershed, Appl. Soil Ecol., 35, 35–45, https://doi.org/10.1016/j.apsoil.2006.05.012, 2007.
Alvares, C. A., Stape, J. L., Sentelhas, P. C., Gonçalves, J. L. M., and Sparovek, G.: Köppen's climate classification map for Brazil, Meteorol. Z., 22, 711–728, https://doi.org/10.1127/0941-2948/2013/0507, 2013.
Andrews, S. S. and Carroll, C. R.: Designing a soil quality assessment tool for sustainable agroecosystem management, Ecol. Appl., 11, 1573–1585, 2001.
Andrews, S. S., Mitchell, J. P., Mancinelli, R., Karlen, D. L., Hartz, T. K., Horwath, W. R., Pettygrove, G. S., Scow, K. M., and Munk, D. S.: On-farm assessment of soil quality in California's Central Valley, Agron. J., 94, 12–23, 2002.
Andrews, S. S., Karlen, D. L., and Cambardella, C.: The Soil Management Assessment Framework: A Quantitative Soil Quality Evaluation Method, Soil Sci. Soc. Am. J., 68, 1945–1962, https://doi.org/10.2136/sssaj2009.0029, 2004.
Arshad, M. A., Lowery, B., and Grossman, B.: Physical tests for monitoring soil quality, in: Methods for Assessing Soil Quality, edited by: Doran, J. W. and Jones, A. J., SSSA Spec. Publ. 49, SSSA, 123–141, https://doi.org/10.2136/sssaspecpub49.c7, 1997.
Bach, C. L., Nesi, C. N., Taffarel, E., and Chiapinotto, I. C.: Metodologia para estimativa de produtividade em lavouras de milho, trigo, soja e feijão, Epagri, Florianópolis, ISSN 1413-960X, 2020.
Banerjee, S. and van der Heijden, M. G. A.: Soil microbiomes and one health, Nat. Rev. Microbiol., 21, 6–20, https://doi.org/10.1038/s41579-022-00779-w, 2023.
Barrios, E.: Soil biota, ecosystem services and land productivity, Ecol. Econ., 64, 269–285, https://doi.org/10.1016/j.ecolecon.2007.03.004, 2007.
Becker, R. K., Giarola, N. F. B., de Paula, A. L., Schiebelbein, B. E., and da Luz, F. B.: Soil health assessment in Brazilian subtropical Oxisol under land use and long-term tillage systems, Braz. Arch. Biol. Technol., 67, https://doi.org/10.1590/1678-4324-pssm-2024230789, 2024.
Becker, R. K., Galvão, C. W., Etto, R. M., Hyeda, D., de Paula, A. L., Schiebelbein, L. M., and Giarola, N. F. B.: Assessing the impact of soil use and management systems on soil health in Southern Brazil, Geoderma Reg., 40, e00932, https://doi.org/10.1016/j.geodrs.2025.e00932, 2025.
Bernoux, M., Feller, C., Cerri, C. C., Eschenbrenner, V., and Cerri, C. E. P.: Soil carbon sequestration, Soil Eros. Carb. Dynam., 13–22, https://doi.org/10.1201/9780203491935-3, 2005.
Bünemann, E. K., Bongiorno, G., Bai, Z., Creamer, R. E., de Deyn, G., Goede, R., Fleskens, L., Geissen, V., Kuyper, T. W., Mäder, P., Pulleman, M., Sukkel, W., Van Groenigen, J. W., and Brussaard, L.: Soil quality – A critical review, Soil Biol. Biochem., 120, 105–125, https://doi.org/10.1016/j.soilbio.2018.01.030, 2018.
Cardoso, E. J. B. N., Vasconcellos, R. L. F., Bini, D., Miyauchi, M. Y. H., Santos, C. A., Alves, P. R. L., Paula, A. M., Nakatani, A. S., Pereira, J. M., and Nogueira, M. A.: Soil health: looking for suitable indicators. What should be considered to assess the effects of use and management on soil health?, Sci. Agric., 70, 274–289, https://doi.org/10.1590/S0103-90162013000400009, 2013.
Cherubin, M. R., Karlen, D. L., Cerri, C. E. P., Franco, A. L. C., Tormena, C. A., Davies, C. A., and Cerri, C. C.: Soil quality indexing strategies for evaluating sugarcane expansion in Brazil, PLoS One, 11, e0150860, https://doi.org/10.1371/journal.pone.0150860, 2016a.
Cherubin, M. R., Karlen, D. L., Franco, A. L. C., Cerri, C. E. P., Tormena, C. A., and Cerri, C. C.: A Soil Management Assessment Framework (SMAF) evaluation of Brazilian sugarcane expansion on soil quality, Soil Sci. Soc. Am. J., 80, 215–226, https://doi.org/10.2136/sssaj2015.09.0328, 2016b.
Cherubin, M. R., Tormena, C. A., and Karlen, D. L.: Soil quality evaluation using the Soil Management Assessment Framework (SMAF) in Brazilian Oxisols with contrasting texture, Rev. Bras. Cienc. Solo., 41, e0160148, https://doi.org/10.1590/18069657rbcs20160148, 2017.
Cherubin, M. R., Bordonal, R. O., Castioni, G. A., Guimarães, E. M., Lisboa, I. P., Moraes, L. A. A., Menandro, L. M. S., Tenelli, S., Cerri, C. E. P., Karlen, D. L., and Carvalho, J. L. N.: Soil health response to sugarcane straw removal in Brazil, Ind. Crops Prod., 163, 113315, https://doi.org/10.1016/j.indcrop.2021.113315, 2021.
Deng, S. and Popova, I.: Carbohydrate hydrolases, in: Methods of Soil Enzymology, edited by: Dick, R. P., Soil Science Society of America, Madison, 185–209, https://doi.org/10.2136/sssabookser9.c9, 2011.
Derpsch, L., Friedrich, T., Kassam, A., and Hongwen, L.: Current status of adoption of no-till farming in the world and some of its main benefits, Int. J. Agric. Biol. Eng., 3, 1–25, 2010.
Doran, J. W. and Zeiss, M. R.: Soil health and sustainability: managing the biotic component of soil quality, Appl. Soil Ecol., 15, 3–11, https://doi.org/10.1016/S0929-1393(00)00067-6, 2000.
Doran, J. W., Sarrantonio, M., and Liebig, M. A.: Soil health and sustainability, Adv. Agron., 56, 1–54, https://doi.org/10.1016/S0065-2113(08)60178-9, 1996.
FAO: Status of the World's Soil Resources, Food and Agriculture Organization of the United Nations, Rome, ISBN 978-92-5-109004-6, 2015.
Fuentes-Guevara, M. D., Spliethoff, J., Camilo, E. L., Neto, E. G., Olanik, C., Pacheco, A. A., Ferreira, R., Rampim, L., Müller, M. M. L., and Pott, C. A.: Mixture of winter cover crops reduces surface runoff and sediment production under no-tillage system for Oxisols, Land Degrad. Dev., 35, 2145–2156, https://doi.org/10.1002/ldr.5050, 2024.
Fuentes-Llanillo, R., Telles, T. S., Soares Junior, D., Melo, T. R., Friedrich, T., and Kassam, A.: Expansion of no-tillage practice in conservation agriculture in Brazil, Soil Till. Res., 208, 104877, https://doi.org/10.1016/j.still.2020.104877, 2021.
Gattinger, A., Muller, A., Haeni, M., Skinner, C., Fliessbach, A., Buchmann, N., Mäder, P., Stolze, M., Smith, P., Scialabba, N. E.-H., and Niggli, U.: Enhanced top soil carbon stocks under organic farming, P. Natl. Acad. Sci. USA, 109, 18226–18231, https://doi.org/10.1073/pnas.1209429109, 2012.
Gomiero, T., Pimentel, D., and Paoletti, M. G.: Environmental impact of different agricultural management practices: Conventional vs. organic agriculture, Crit. Rev. Plant Sci., 30, 95–124, https://doi.org/10.1080/07352689.2011.554355, 2011.
Gu, L., Kong, J., Chen, K., and Guo, Y.-Q.: Monitoring soil biological properties during the restoration of a phosphate mine under different tree species and plantation types, Ecotoxicol. Environ. Safe., 180, 130–138, https://doi.org/10.1016/j.ecoenv.2019.05.001, 2019.
Hamza, M. A. and Anderson, W. K.: Soil compaction in cropping systems: A review of the nature, causes and possible solutions, Soil Till. Res., 82, 121–145, https://doi.org/10.1016/j.still.2004.08.009, 2005.
Hartmann, M., Frey, B., Mayer, J., Mäder, P., and Widmer, F.: Distinct soil microbial diversity under long-term organic and conventional farming, ISME J., 9, 1177–1194, https://doi.org/10.1038/ismej.2014.210, 2015.
Hemmati, S., Yaghmaeian, N., Farhangi, M. B., and Sabouri, A.: Soil quality assessment of paddy fields (in Northern Iran) with different productivities: establishing the critical limits of minimum data set indicators, Environ. Sci. Pollut. Res., 30, 10286–10296, https://doi.org/10.1007/s11356-022-22846-8, 2022.
Jimenez, L. C. Z., Queiroz, H. M., Cherubin, M. R., and Ferreira, T. O.: Applying the Soil Management Assessment Framework (SMAF) to assess mangrove soil quality, Sustainability, 14, 3085, https://doi.org/10.3390/su14053085, 2022.
Jolliffe, I. T.: Principal Component Analysis, in: 2nd Edn., Springer Series in Statistics, Springer, New York, ISBN 0-387-95442-2, 2002.
Jolliffe, I. T. and Cadima, J.: Principal component analysis: a review and recent developments, Philos. Trans. Roy. Soc. A, 374, 20150202, https://doi.org/10.1098/rsta.2015.0202, 2016.
Karlen, D. L. and Stott, D. E.: A framework for evaluating physical and chemical indicators of soil quality, in: Defining Soil Quality for a Sustainable Environment, edited by: Doran, J. W., Coleman, D. C., Bezdicek, D. F., Stewart, B. A., SSSA, Madison, USA, 53–72, https://doi.org/10.2136/sssaspecpub35.c4, 1994.
Lal, R.: Soil degradation as a reason for inadequate human nutrition, Food Secur., 1, 45–57, https://doi.org/10.1007/s12571-009-0009-z, 2009.
Lal, R.: Soil erosion and gaseous emissions, Appl. Sci., 10, 2784, https://doi.org/10.3390/app10082784, 2020.
Lê, S., Josse, J., and Husson, F.: FactoMineR: An R package for multivariate analysis, J. Stat. Softw., 25, https://doi.org/10.18637/jss.v025.i01, 2008.
Libardi, P. L.: Dinâmica da água no solo, Universidade Estadual de São Paulo, São Paulo, ISBN 978-8531413841, 2012.
Lima, A. Y. V., Cherubin, M. R., da Silva, D. F., Mota, J. C. A., Silva, F. G. M., de Araujo, A. S. F., Melo, V. M. M., Verma, J. P., and de Araujo Pereira, A. P.: Grazing exclusion restores soil health in Brazilian drylands under desertification process, Appl. Soil Ecol., 193, 105107, https://doi.org/10.1016/j.apsoil.2023.105107, 2024.
Lisboa, I. P., Cherubin, M. R., Satiro, L. S., Siqueira-Neto, M., Lima, R. P., Gmach, M. R., Wienhold, B. J., Schmer, M. R., Jin, V. L., Cerri, C. C., and Cerri, C. E. P.: Applying Soil Management Assessment Framework (SMAF) on short-term sugarcane straw removal in Brazil, Ind. Crops Prod., 129, 175–184, https://doi.org/10.1016/j.indcrop.2018.12.004, 2019.
Lopes, A. A. C., Sousa, D. M., Chaer, G. M., Reis Junior, F. B., Goedert, W. J., and Mendes, I. C.: Interpretation of microbial soil indicators as a function of crop yield and organic carbon, Soil Sci. Soc. Am. J., 77, 461–472, https://doi.org/10.2136/sssaj2012.0191, 2013.
Lori, M., Symnaczik, S., Mäder, P., De Deyn, G., and Gattinger, A.: Organic farming enhances soil microbial abundance and activity – a meta-analysis and meta-regression, PLoS One, 12, e0180442, https://doi.org/10.1371/journal.pone.0180442, 2017.
Luz, F. B., Silva, V. R., Mallmann, F. J. K., Pires, C. A. B., Debiasi, H., Franchini, J. C., and Cherubin, M. R.: Monitoring soil quality changes in diversified agricultural cropping systems by the Soil Management Assessment Framework (SMAF) in southern Brazil, Agr. Ecosyst. Environ., 281, 100–110, https://doi.org/10.1016/j.agee.2019.05.006, 2019.
Manly, B. F. J.: Métodos estatísticos multivariados: uma introdução, in: 3rd Edn., Bookman, Porto Alegre, ISBN 978-8577801855, 2008.
Marion, L. F., Schneider, R., Cherubin, M. R., Colares, G. S., Wiesel, P. G., da Costa, A. B., and Lobo, E. A.: Development of a soil quality index to evaluate agricultural cropping systems in southern Brazil, Soil Till. Res., 218, 105293, https://doi.org/10.1016/j.still.2021.105293, 2022.
Martín-Sanz, J. P., de Santiago-Martín, A., Valverde-Asenjo, I., Quintana-Nieto, J. R., González-Huecas, C., and López-Lafuente, A. L.: Comparison of soil quality indices calculated by network and principal component analysis for carbonated soils under different uses, Ecol. Indic., 143, 109374, https://doi.org/10.1016/j.ecolind.2022.109374, 2022.
Masto, R. E., Chhonkar, P. K., Singh, D., and Patra, A. K.: Changes in soil quality indicators under long-term sewage irrigation in a sub-tropical environment, Environ. Geol., 56, 1237–1243, https://doi.org/10.1007/s00254-008-1223-2, 2008.
Matos, P. S., Cherubin, M. R., Damian, J. M., Rocha, F. I., Pereira, M. G., and Zonta, E.: Short-term effects of agroforestry systems on soil health in Southeastern Brazil, Agroforest. Syst., 96, 897–908, https://doi.org/10.1007/s10457-022-00749-4, 2022.
Mendes, I. C., Chaer, G. M., Reis Junior, F. B., Sousa, D. M. G., Silva, O. D. D., Oliveira, M. I., and Malaquias, J. V.: Tecnologia BioAS: uma maneira simples e eficiente de avaliar a saúde do solo, Embrapa Cerrados, Documentos 369, Embrapa Cerrados, Planaltina, DF, ISSN 1517-5111, 2021a.
Mendes, I. C., Sousa, D. M. G., Dantas, O. D., Lopes, A. A. C., Reis Junior, F. B., Oliveira, M. I., and Chaer, G. M.: Soil quality and grain yield: A win–win combination in clayey tropical oxisols, Geoderma, 388, 114880, https://doi.org/10.1016/j.geoderma.2020.114880, 2021b.
Mendes, I. C., Chaer, G. M., Reis-Junior, F. B., Dantas, O. D., Malaquias, J. V., Oliveira, M. I. L., Nogueira, M. A., and Hungria, M.: Soil Bioanalysis (SoilBio): A Sensitive, Calibrated, and Simple Assessment of Soil Health for Brazil, in: Soil Health and Sustainable Agriculture in Brazil, Vol. 03, edited by: Mendes, I. C. and Cherubin, M. R., SSSA and Wiley, Madison, 292–326, https://doi.org/10.1002/9780891187448.ch10, 2024.
Merten, G. H., Araújo, A. G., Biscaia, R. C. M., Barbosa, G. M. C., and Conte, O.: No-till surface runoff and soil losses in southern Brazil, Soil Till. Res., 152, 85–93, https://doi.org/10.1016/j.still.2015.03.014, 2015.
Mukherjee, A. and Lal, R.: Comparison of soil quality index using three methods, PLoS One, 9, e105981, https://doi.org/10.1371/journal.pone.0105981, 2014.
Navas, M., Benito, M., Rodríguez, I., and Masaguer, A.: Effect of five forage legume covers on soil quality at the Eastern plains of Venezuela, Appl. Soil Ecol., 49, 242–249, https://doi.org/10.1016/j.apsoil.2011.04.017, 2011.
Nunes, M. R., Veum, K. S., Parker, P. A., Holan, S. H., Karlen, D. L., Amsili, J. P., Van Es, H. M., Wills, S. A., Seybold, C. A., and Moorman, T. B.: The soil health assessment protocol and evaluation applied to soil organic carbon, Soil Sci. Soc. Am. J., 85, 1196–1213, https://doi.org/10.1002/saj2.20244, 2021.
Obade, V. P., Lal, R., and Moore, R.: Assessing the accuracy of soil and water quality characterization using remote sensing, Water Resour. Manage., 28, 5091–5109, https://doi.org/10.1007/s11269-014-0796-7, 2014.
Panagos, P., Borrelli, P., Poesen, J., Ballabio, C., Lugato, E., Meusburger, K., Montanarella, L., and Alewell, C.: The new assessment of soil loss by water erosion in Europe, Environ. Sci. Policy, 54, 438–447, https://doi.org/10.1016/j.envsci.2015.08.012, 2015.
Pavinato, P. S., Pauletti, V., Motta, A. C. V., and Moreira, A.: Manual de adubação e calagem para o estado do Paraná, SBCS/NEPAR, Curitiba, PR, ISBN 978-85-69146-04-9, 2017.
Pereira, A. P. A., Cherubin, M. R., de Araujo, A. S. F., Santana, M. C., de Medeiros, E. V., da Costa, D. P., de Souza, A. J., Lima, A. Y. V., da Silva, D. F., Estrada, P. A. C., Mendes, L. W., Verma, J. P., Koutika, L. S., and Cardoso, E. J. B. N.: Soil Quality Evaluation in Mono and Mixed Eucalypt Plantation, Sustainability, 16, 2534, https://doi.org/10.3390/su16062534, 2024.
Possamai, E. J., Conceição, P. C., Amadori, C., Bartz, M. L. C., Ralisch, R., Vicensi, M., and Marx, E. F.: Adoption of the no-tillage system in Paraná State: A (re)view, Rev. Bras. Ciênc. Solo., 46, https://doi.org/10.36783/18069657rbcs20210104, 2022.
R Development Core Team: R: A Language and Environment for Statistical Computing, https://www.r-project.org/ (last access: 30 March 2026), 2023.
Reichert, J. M., Reinert, D. J., and Braida, J. A.: Qualidade dos solos e sustentabilidade de sistemas agrícolas, Ciênc. Ambiente, 27, 29–48, 2003.
Reintam, E., Trükmann, K., Kuht, J., Nugis, E., Edesi, L., Astover, A., Noormets, M., Kauer, K., Krebstein, K., and Rannik, K.: Soil compaction effects on soil bulk density and penetration resistance and growth of spring barley (Hordeum vulgare L.), Acta Agric. Scand. Sect. B, 59, 265–272, https://doi.org/10.1080/09064710802030070, 2009.
Reynolds, W. D., Bowman, B. T., Drury, C. F., Tan, C. S., and Lu, X.: Indicators of good soil physical quality: density and storage parameters, Geoderma, 110, 131–146, https://doi.org/10.1016/s0016-7061(02)00228-8, 2002.
Reynolds, W. D., Drury, C. F., Yang, X. M., Fox, C. A., Tan, C. S., and Zhang, T. Q.: Land management effects on the near-surface physical quality of a clay loam soil, Soil Till. Res., 96, 316–330, https://doi.org/10.1016/j.still.2007.07.003, 2007.
Rinot, O., Levy, G. J., Steinberger, Y., Svoray, T., and Eshel, G.: Soil health assessment: a critical review of current methodologies and a proposed new approach, Sci. Total Environ., 648, 1484–1491, https://doi.org/10.1016/j.scitotenv.2018.08.259, 2019.
Rossi, J.-P., Franc, A., and Rousseau, G. X.: Indicating soil quality and the GISQ, Soil Biol. Biochem., 41, 444–445, https://doi.org/10.1016/j.soilbio.2008.10.004, 2009.
Ruiz, F., Cherubin, M. R., and Ferreira, T. O.: Soil quality assessment of constructed Technosols: Towards the validation of a promising strategy for land reclamation, waste management and the recovery of soil functions, J. Environ. Manage., 276, 111344, https://doi.org/10.1016/j.jenvman.2020.111344, 2020.
Santos, H. G., Jacomine, P. K. T., dos Anjos, L. H. C., de Oliveira, V. Á., Lumbreras, J. F., Coelho, M. R., de Almeida, J. A., Cunha, T. J. F., and de Oliveira, J. B.: Sistema brasileiro de classificação de solos, 5. ed., rev. e ampl., Embrapa, Brasília, DF, ISBN 978-85-7035-800-4, 2018.
Shukla, M. K., Lal, R., and Ebinger, M.: Determining soil quality indicators by factor analysis, Soil Till. Res., 87, 194–204, https://doi.org/10.1016/j.still.2005.03.011, 2006.
Simon, C. P., Gomes, T. F., Pessoa, T. N., Soltangheisi, A., Bieluczyk, W., Camargo, P. B., Martinelli, L. A., and Cherubin, M. R.: Soil quality literature in Brazil: A systematic review, Revista Brasileira de Ciência do Solo, 46, e021030, https://doi.org/10.36783/18069657rbcs20210103, 2022.
Soil Survey Staff: Keys to Soil Taxonomy, Department of Agriculture, Washington, USA, ISBN 978-0359573240, 2014.
Stott, D. E., Andrews, S. S., Liebig, M. A., Wienhold, B. J., and Karlen, D. L.: Evaluation of β-glucosidase activity as a soil quality indicator for the Soil Management Assessment Framework, Soil Sci. Soc. Am. J., 74, 107–119, https://doi.org/10.2136/sssaj2009.0029, 2010.
Tabatabai, M. A. and Bremner, J. M.: Arylsulfatase activity of soils, Soil Sci. Soc. Am. J., 34, 225–229, https://doi.org/10.2136/sssaj1970.03615995003400020016x, 1970.
Telles, T. S., Lourenço, M. A. P., Oliveira, J. F., Costa, G. V., and Barbosa, G. M. C.: Soil conservation practices in a watershed in Southern Brazil, An. Acad. Bras. Cienc., 91, https://doi.org/10.1590/0001-3765201920180578, 2019.
Thomaz, E. L. and Kurasz, J. P.: Long term of soil carbon stock in no-till system affected by a rolling landscape in Southern Brazil, Soil Syst., 7, 60, https://doi.org/10.3390/soilsystems7020060, 2023.
Tuck, S. L., Winqvist, C., Mota, F., Ahnström, J., Turnbull, L. A., and Bengtsson, J.: Land-use intensity and the effects of organic farming on biodiversity: a hierarchical meta-analysis, J. Appl. Ecol., 51, 746–755, https://doi.org/10.1111/1365-2664.12219, 2014.
USDA – United States Department of Agriculture: Soil health, United States Department of Agriculture, Natural Resources Conservation Service, Washington, D.C., https://www.nrcs.usda.gov/conservation-basics/natural-resource-concerns/soils/soil-health (last access: 20 July 2023), 2023.
Walder, F., Büchi, L., Wagg, C., Colombi, T., Banerjee, S., Hirte, J., Mayer, J., Six, J., Keller, T., and Charles, R.: Synergism between production and soil health through crop diversification, organic amendments and crop protection in wheat-based systems, J. Appl. Ecol., 60, 2091–2104, https://doi.org/10.1111/1365-2664.14484, 2023.
Wen, X., Zhen, L., Jiang, Q., and Xiao, Y.: A global review of the development and application of soil erosion control techniques, Environ. Res. Lett., 18, 033003, https://doi.org/10.1088/1748-9326/acbaac, 2023.
Wienhold, B. J., Karlen, D. L., Andrews, S. S., and Stott, D. E.: Protocol for indicator scoring in the soil management assessment framework (SMAF), Renew. Agricult. Food Syst., 24, 260–266, https://doi.org/10.1017/S1742170509990093, 2009.
Wymore, A. W.: Model-based systems engineering: An introduction to the mathematical theory of discrete systems and to the tricotyledon theory of system design, CRC Press, Boca Raton, ISBN 978-0849380129, 1993.
Yu, P., Liu, J., Tang, H., Sun, X., Liu, S., Tang, X., Ding, Z., Ma, M., and Ci, E.: Establishing a soil quality index to evaluate soil quality after afforestation in a karst region of Southwest China, Catena, 230, 107237, https://doi.org/10.1016/j.catena.2023.107237, 2023.