Articles | Volume 12, issue 1
https://doi.org/10.5194/soil-12-187-2026
https://doi.org/10.5194/soil-12-187-2026
Original research article
 | 
09 Mar 2026
Original research article |  | 09 Mar 2026

Limited effect of organic matter addition on stabilised organic carbon in four tropical arable soils

Marijn Van de Broek, Fiona Stewart-Smith, Moritz Laub, Marc Corbeels, Monicah Wanjiku Mucheru-Muna, Daniel Mugendi, Wycliffe Waswa, Bernard Vanlauwe, and Johan Six
Abstract

Arable soils are generally characterised by a low soil organic carbon (SOC) content, with negative consequences for soil health, crop yield and global climate. Thus, over the past decades, there has been a focus on how agricultural management practices, such as organic resource amendments, can increase the amount of SOC. To sustainably increase SOC stocks, a portion of the organic resources added to the soil has to be stabilised in persistent fractions such as mineral-associated organic carbon (MAOC). However, there is a lack of research on the magnitude of changes in MAOC in tropical agroecosystems in response to organic resource amendments. Here, we show for four long-term field trials in Kenya that the addition of large amounts of organic resources (farmyard manure or Tithonia diversifolia biomass at 4 t C ha1 yr−1 for 16 to 19 years) to maize monocropping systems had variable effects on topsoil MAOC stocks (0–15 cm depth), and no significant effect on subsoil MAOC stocks (15–50 cm depth) compared to a control treatment. The addition of mineral N fertiliser did not affect MAOC stocks at any site. Using the distinct stable carbon isotopic signature (δ13C) of the maize crop (C4) and the Tithonia amendments (C3), we calculated that the portion of topsoil MAOC originating from Tithonia biomass was larger in the sandy (25 %–40 %) compared to the clayey soils (0.5 %–12 %), while the portion of total added Tithonia biomass that was stabilised over a time period of 16–19 years was below 7 % across all sites, or a SOC stabilisation rate of 0.8–27 g C m−2 yr−1. Using these results, we conclude that while in sandy soils the stabilisation of added OC contributed substantially to limiting SOC losses upon cultivation, this was not the case for clayey soils. These differences were due to the much lower SOC stocks in the sandy soils, compared to the clayey soils. Our results underline the challenges associated with improving soil health in sub-Saharan Africa and stress the need for more research to reliably assess if and how organic resource amendments can be stabilised over decadal time scales in highly weathered tropical soils.

Share
1 Introduction

Soils store a large amount of carbon in the form of organic molecules (Scharlemann et al.2014). This soil organic carbon (SOC), as part of total soil organic matter (SOM), is a necessary component of soils to provide key ecosystem services such as enabling primary production and climate regulation (Schulte et al.2014; Oldfield et al.2019; Van de Broek et al.2019). However, anthropogenic land use changes, particularly the conversion of natural ecosystems to agriculture, have led to substantial losses of SOC in the topsoil (Don et al.2011; Poeplau et al.2011) and subsoil (Müller et al.2024; Sanderman et al.2017). This has driven research efforts aimed at reversing these losses and increasing SOC storage in arable soils (Minasny et al.2017; Paustian et al.2016; Chenu et al.2019; Batjes2019; Padarian et al.2022). However, the feasibility of achieving substantial and long-term SOC sequestration remains the subject of ongoing scientific debate (Schlesinger and Amundson2019; van Groenigen et al.2017; de Vries2018; VandenBygaart2018; Poulton et al.2018).

Much of the knowledge related to the effect of land use changes and land management on SOC storage comes from research conducted in countries in the Global North, especially in temperate regions (Beillouin et al.2022). These studies have shown that multiple agricultural management practices, such as the regular application of organic resources (Gross and Glaser2021; Beillouin et al.2023), the incorporation of crop harvest residues (Lehtinen et al.2014) or the cultivation of cover crops (Poeplau and Don2015), have the potential to increase, or at least maintain, the amount of topsoil OC. In contrast, much less is known about the effects of agricultural management practices on SOC stocks and greenhouse gas emissions in sub-Saharan Africa (SSA) (Rosenstock and Wilkes2021). For example, of the 346 long-term agricultural field experiments registered in the GLTEN database (https://glten.org/, last access: February 2026), only 25 (ca. 7 %) are located in SSA. This is problematic, as food demand in SSA is expected to increase significantly in the coming decades. This will require the knowledge to increase crop productivity while maintaining soil fertility, if SSA is not to rely on already substantial imports of cereals (van Ittersum et al.2016). Another challenge is that findings from temperate ecosystems do not necessarily translate to tropical regions, given the differences in soil characteristics and climate. For example, single management practices that increase topsoil OC in temperate agroecosystems (such as no-tillage, crop residue retention and crop rotations; Beillouin et al.2023) may not have the same effect in highly-weathered tropical soils, where only the combination of practices, applied consistently over time, have shown to effectively increase SOC (Corbeels et al.2019). In addition, sustaining soil nutrients and crop yields in SSA may require a greater reliance on mineral fertilizers compared to temperate agroecosystems (Vanlauwe et al.2014; Falconnier et al.2023).

The combined application of organic resources and mineral fertilizers to maximize the agronomic use efficiency of nutrient inputs and improve crop productivity is part of the Integrated Soil Fertility Management (ISFM) paradigm (Vanlauwe et al.2010). This has been studied in different regions of SSA (e.g., Rusinamhodzi et al.2013; Sommer et al.2018; Sprunger et al.2019; Adams et al.2020; Cardinael et al.2022), with results showing that the combined application of organic resources and mineral fertilizer leads to higher maize yields than when either input is applied separately (Chivenge et al.2011; Gram et al.2020; Laub et al.2023b). However, while in temperate agroecosystems the addition of organic resources has the potential to maintain or increase SOC stocks (e.g., Gross and Glaser2021; Beillouin et al.2023), many experiments studying ISFM in SSA report a consistent decrease in SOC stocks over time (e.g., Cardinael et al.2022; Sommer et al.2018; Laub et al.2023a). Yet, SOC stocks in treatments receiving organic resources are generally higher compared to a control treatment without organic inputs (Gram et al.2020). Even at high application rates of organic resources (4 t C ha1 yr−1), SOC stocks at four long-term field trials in Kenya have been found to be at best maintained over time, and only at sites with initially low SOC levels (Laub et al.2023a). In contrast to the results for crop productivity, there is generally no positive interaction between the addition of mineral fertilizer and organic resources to maintain topsoil OC stocks in agroecosystems in SSA (Chivenge et al.2011; Gram et al.2020).

While there has been substantial research on the effect of agricultural nutrient management practices on SOC stocks in SSA, as shown by recent meta-analyses (e.g., Chivenge et al.2011; Powlson et al.2016; Corbeels et al.2019; Gram et al.2020), there is a lack of knowledge regarding the long-term stability of newly-formed SOC. Specifically, two key research questions remain unresolved concerning the potential to store SOC in agricultural soils in SSA: (1) to what extent is SOC stabilized through mineral associations, and (2) whether the addition of organic resources influences SOC stocks below the plough layer.

Concerning the first research question, a key method to study SOC stabilization involves separating chemically complex SOC into simplified soil fractions (Heckman et al.2022). A widely adopted fractionation scheme since its inception by Cambardella and Elliott (1992) separates total SOC into particulate organic carbon (POC) and mineral-associated organic carbon (MAOC), either by size or density fractionation (Cotrufo et al.2019; Lavallee et al.2020). Large-scale application of this method has shown that (1) the abundance of POC is controlled by factors favouring SOC loss, while the abundance of MAOC is controlled by C inputs and the stabilization potential of soil minerals (Hansen et al.2024), (2) the abundance of POC and MAOC, their ratios, and their sensitivity to climate change differ across land use types (Lugato et al.2021; Sokol et al.2022; Hansen et al.2024) and plant mycorrhizal associations (Cotrufo et al.2019) and (3) there is a maximum amount of MAOC that can be stabilized in soils (Stewart et al.2007; Six et al.2024), which depends on soil mineralogy (Georgiou et al.2022). However, the data used in these meta-analyses show a notable under-representation of studies from SSA (Georgiou et al.2022; Hansen et al.2024), raising uncertainties about whether the same factors control POC and MAOC abundance in highly weathered tropical soils. Moreover, there is a large diversity in soil types across SSA and different factors that govern the amount of total SOC (von Fromm et al.2021). As arable soils globally have the largest deficit in stabilized SOC (Georgiou et al.2022), understanding how management practices in agroecosystems on highly weathered tropical soils affect the amount of stabilized SOC is essential to assess the potential to partially restore, or at least maintain, these stocks using appropriate management practices.

Concerning the second research question, studies on the effect of agricultural management practices on SOC stocks below the plough layer remain limited compared to studies focused on the topsoil (Yost and Hartemink2020). Most studies on the effects of agricultural management practices on SOC in SSA are limited to the top 20–30 cm of the soil. The few exceptions (Laub et al.2023a; Shumba et al.2024) show that while significant differences in the topsoil OC stocks were observed, management practices did not affect SOC stocks below the plough layer. While this lack of detectable differences may be partly explained by the low number of replicates, these findings are not surprising as SOC below the plough layer in tropical (and other) soils is generally very old (Balesdent et al.2018; von Fromm et al.2024b; Sierra et al.2024), indicating that only a small fraction of recently added OC is stabilized below the plough layer (Sierra et al.2024). As global initiatives to increase SOC stocks, such as 4 per mille (https://4p1000.org, last access: February 2026), rely on increasing SOC stocks down to 1 m depth (Minasny et al.2017), more research is needed to assess whether or not this is feasible (VandenBygaart2018).

In this study, we address the above-mentioned research questions concerning the effect of added organic resources and mineral N fertilizer on stabilized SOC in the top- and subsoil of four long-term field trials in SSA. To do so, we performed a density fractionation on soil samples collected from four long-term agricultural field trials in central and western Kenya, where different ISFM practices were applied for 16 to 19 years. We measured SOC stocks of two soil fractions (POC and MAOC) and used stable (δ13C) and radioisotopes (Δ14C) of SOC along the soil profile to quantify the stabilisation of recently added OC through organic resources. We address the following research questions. How does the addition of different organic resources and mineral N fertilizer (1) affect stabilised OC stocks (MAOC) in the 0–15 cm depth layer? (2) affect POC stocks in the 0–15 cm depth layer? And (3) affect MAOC stocks in the 15–50 cm depth layers? The following hypotheses were formulated, partly based on previous research we conducted at the study sites, each referring to the respective research question. (1) Continuous organic matter addition leads to higher SOC stocks compared to the control treatment by enhancing MAOC stabilization, leading to higher absolute increases in MAOC stocks in clayey soils compared to sandy soils, given the higher content of clay minerals in the former. (2) Continuous organic matter addition leads to higher POC stocks compared to the control treatments. And (3) continuous organic matter addition at the soil surface has no long-term effect on MAOC accumulation in soil layers below 15 cm depth (the plough layer). By addressing these research questions, this study aims to improve our knowledge on the extent to which different organic resources affect SOC stocks, contributing to climate change mitigation and improving soil health in tropical soils.

2 Materials and Methods

2.1 Study sites and sample collection

This study used soil samples collected from four long-term agricultural field trials located in central (Embu and Machanga) and western (Sidada and Aludeka) Kenya, which were established in 2002 and 2005, respectively (Fig. S1 in the Supplement). In all trials, a monoculture of maize (Zea mays) was grown during two growing seasons per year, coinciding with the long (March–August/September) and short (September/October–January/February) rainy seasons. With the exception of Embu (20.1 °C), the sites are characterized by similar mean annual temperatures (22.6–24.4 °C). The sites in western Kenya receive a larger amount of rainfall compared to the sites in central Kenya (Table 1). In each region, a location with a sandy and clayey soil was selected. The sites at Embu (Humic Nitisol, 71 % clay) and Sidada (Humic Ferralsol, 57 % clay) are characterised by soils with a clayey texture, while Machanga (Ferric Alisol, 7 % clay) and Aludeka (Haplic Acrisol, 8 % clay) have sandy soils. The sandy site at Machanga had a gentle slope (< 1 %) and therefore experienced topsoil erosion throughout the experiment. Because treatments were randomized within horizontal blocks following the contour of the slope and erosion affected the field broadly, it is unlikely that any treatment was disproportionately impacted. However, the erosion may have removed part of the topsoil and brought subsoil closer to the surface, causing some of the original subsoil (i.e., below 15 cm depth) to be included in the 0–15 cm samples.

Table 1General characteristics of the soils and climate at the study sites. The reported soil texture is the average down to 0.5 m depth, weighted by the layer thickness (depth profiles are shown in Fig. S3). The initial topsoil OC content was reported by Laub et al. (2023a).

Download Print Version | Download XLSX

The field trials were set up to study the effect of different organic resources and mineral N fertilizer, following ISFM principles, on maize yield and SOM dynamics. For all treatments, aboveground crop residues were removed after harvest. For the present study, four treatments with a varying effect of organic resources and N fertilizer on the topsoil OC content were selected (based on Laub et al.2023a): (1) the control treatment receiving OC only from roots (“Control”), (2) the treatment receiving 120 kg ha−1 mineral N fertilizer (as CaNH4NO3) per growing season (i.e., 240 kg ha−1 yr−1) (“Control + N”), (3) the treatment receiving 4 t C ha1 yr−1 as Tithonia diversifolia (“TD”) and (4) the treatment receiving 4 t C ha1 yr−1 as farmyard manure (“FYM”) (Table 2). While treatments with lower amounts of added organic resources were present (at 1.2 t C ha1 yr−1), the treatments receiving the largest amount of organic resources (4 t C ha1 yr−1) were chosen as they were shown to have the largest impact on topsoil OC stocks (Laub et al.2023a). We chose organic resource treatments that did not receive mineral N, as the addition of mineral N had a negligible effect on the topsoil OC content in these field trials (Laub et al.2023a), in line with findings from other sites in SSA (Gram et al.2020). All treatments, replicated three times in a split-plot design, received a blanket application of 60 kg P ha−1 (as triple superphosphate) and 60 kg K ha−1 (as muriate or potash) each growing season at planting. The organic resources were incorporated into the soil down to a depth of 15 cm using a hand hoe. A graphical representation of the sampling design of the present study is provided in Fig. S2, while a full description of the field trials is given in Laub et al. (2023a) and Laub et al. (2023b).

Table 2Overview of the treatments applied at the long-term field trials used in the present study.

Download Print Version | Download XLSX

Soil samples were collected in 2021 from each of the three replicates of each treatment at three depth intervals: 0–15, 15–30 and 30–50 cm depth (Laub et al.2023a). In the present study, the 0–15 cm depth layer is referred to as topsoil or plough layer, while the samples collected in the 15–30 and 30–50 cm depth intervals are referred to as the subsoil. Depth profiles of the analysed variables are presented for all layers, while statistical results are presented for the topsoil and the combined subsoil layers. Samples were collected using a half open gauge auger (60 mm diameter, Eikelkamp Soil & Water) at Embu, or a 55 mm diameter Giddings corer (Giddings Machine Company) at the other sites. Upon sample collection, the soils were sieved at 8 mm, air-dried and stored for further analyses.

A detailed analysis of the effects of all treatments on total topsoil OC and maize yield has been presented in Laub et al. (2023a) and Laub et al. (2023b), respectively. For the treatments studied here, both maize yield (Fig. S4) and total aboveground biomass productivity (Fig. S5) were significantly higher in the treatments receiving organic resources (TD or FYM) compared to the control treatment at all sites. A similar trend was observed for the treatments receiving only mineral N at all sites except Embu. All treatments (with the exception of TD and FYM at 4 t C ha1 yr−1 at Aludeka) experienced a decrease in topsoil OC concentration (0–15 cm) over the duration of the experiment (Fig. S6), with the lowest losses observed in the 4 t C ha1 yr−1 FYM treatment, intermediate losses in the 4 t C ha1 yr−1 TD treatment, and the highest losses in the control treatment, whether or not mineral N was applied (Laub et al.2023a). In addition, based on samples collected in 2021, no significant effect of any treatment on the total SOC stock in the 15–50 cm depth layer was observed at any site (Laub et al.2023a). The initial topsoil OC content and SOC stocks across depth, as measured in 2021, were reported by Laub et al. (2023a).

2.2 Basic soil properties

Soil texture was determined for the control treatment at each site for all three replicates and soil depths (0–15, 15–30 and 30–50 cm depth). To do so, 0.5 g of soil was weighed in glass beakers and placed in a hot water bath (45 °C), and 10 mL H2O2 (35 %) was added five times to decompose all organic matter. After oven-drying, the samples were transferred to plastic tubes and shaken overnight in 7 mL (NaPO3)6 (10 %) to ensure full dispersion of the soil particles. Subsequently, the samples were analysed with a laser diffraction particle size analyser (LS 12 320, Beckman Coulter). Soil particle size classes were defined as clay (< 2 µm), silt (2–53 µm) and sand (> 53 µm).

Soil pHH2O was determined by dissolving 10 g of soil in 25 mL milli-Q® water and shaking the mixture for 2 h on a mechanical shaker. The sediment was allowed to settle for 24 h, after which the solution was centrifuged for 5 min at 4700 rpm, and the pH of the supernatant was measured.

Soil bulk density was determined by Laub et al. (2023a). The stone-free weight of the dried soil was divided by the volume of the auger used to collect the soil sample, which was corrected for the volume of stones (assuming a stone density of 2.65 g cm−3). Outliers in bulk density were identified and removed as follows for the present study. First, it was assessed whether the range in bulk density values for the replicates of the same treatment at the same site and depth interval was larger than 0.25 g cm−3 (to assess consistency between the replicates). If this was the case, data points that differed by more than 0.25 g cm−3 from the average bulk density for all treatments at the same depth at the same site were identified as outliers (Fig. S8). To determine if the bulk density was significantly different between treatments at the same site, a linear mixed effects model was used (see Sect. S1.2). As the significant differences were limited to 4 out of the 72 unique site – treatment – depth combinations, it was chosen to use the average bulk density per soil depth at each site to calculate SOC stocks, to avoid non-significant differences in bulk density to influence the results (Fig. S9). To account for the variation in bulk density when calculating stocks of POC and MAOC, the standard deviations of all samples at the same depth and site were used.

2.3 Density fractionation

To determine the most suitable fractionation method, a subset of 16 samples from all sites and two soil depths was fractionated into particulate organic matter (POM) and mineral-associated organic matter (MAOM) using a size cut-off of 53 µm. Note that in this study the terms POM and MAOM are used to refer to the fractions, while POC and MAOC are used to refer to their C content. Both size fractions were subsequently separated by density fractionation (see below) to assess if POM and MAOM were sufficiently isolated, using the OC content of these fractions and a visual inspection under a stereoscope. As this separation by size appeared not to sufficiently separate both fractions, a density fractionation was used to fractionate all samples.

A total of 144 soil samples was fractionated (4 sites × 4 treatments × 3 depths × 3 replicates). The density fractionation was performed by weighing approximately 5 g of 2 mm-sieved soil into 30 mL of sodium polytungstate (SPT, Sometu, Germany) in a Falcon tube. To determine the optimal density of the SPT, a range of densities from 1.4 to 1.8 g cm−3, in 0.1 g cm−3 increments, was used on a subset of samples from all four sites, following the methods outlined by Cerli et al. (2012). The optimal density of SPT was determined as the one leading to the highest OC content of the light fraction (indicating a better separation of POM from MAOM). This resulted in an optimal SPT density of 1.6 g cm−3 for Aludeka, and 1.7 g cm−3 for Embu, Machanga and Sidada. Next, the samples were dispersed (in SPT) using ultrasonication at 400 J mL−1 (ca. 220 s at 200–240 W) and centrifuged at 4700 rpm for two hours, to maximize the separation of POM and MAOM. The POM fraction was separated by decanting the floating fraction over a pre-weighed glass fibre filter (Whatman® GF 6) using a vacuum filtration unit. Any remaining SPT on the filter was removed by rinsing the filter and POM with 400 mL of Milli-Q® water. The filters with POM were oven-dried at 60 °C. The remaining SPT was washed from the MAOM fraction by decanting the SPT and filling the Falcon tube with Milli-Q® water. This mixture was vortexed to mix soil and water, centrifuged at 4700 rpm for up to two hours after which the water was decanted. This washing step was repeated until the electrical conductivity of the water was below 50 µS cm−1, requiring on average 4 washing steps. For most samples, a flocculant (1:1 mixture of 0.25 M CaCl2 and 0.25 M MgCl2) was added to ensure the settling of all mineral particles. This flocculant was only added from the second washing step onwards. As EC values are increased by the presence of the flocculant, preventing to reach values below 50 µS cm−1, all samples to which flocculant was added were rinsed four times. This number of rinses was shown to be sufficient for additionally processed samples from all sites, to which no flocculant was added. Rinsing those samples four times resulted in EC values below 50 µS cm−1. The rinsed mineral fraction was transferred to aluminium trays, oven-dried at 60 °C, and weighed.

The efficacy of the added flocculant to retrieve as much mineral particles as possible was confirmed by the high recovery of total soil mass after the fractionation of 98.5 % on average, with OC recoveries being on average 93 % and > 80 % for all except seven samples. It is noted that the OC recovery was calculated using the OC % of a subsample which was ground after sieving, therefore potentially having a higher OC % as small pieces of roots and POM were present in the sample, compared to the non-ground subsample used for fractionation. For the latter, large visible pieces of POM were avoided during the manual subsampling for fractionation, which may at least partly explain the lower OC recovery compared to soil mass recovery. The most likely pathway for OC loss during fractionation was during the rinsing of SPT from MAOM, as not all sediment settled during centrifugation before the first rinse when no flocculant was added. Therefore, the loss of OC was accounted for in all following calculations by increasing the mass of MAOM so that the final recovered mass was equal to the initial mass.

2.4 Organic carbon and isotopic analysis

The soil fractions (POM and MAOM) were analysed for OC, total N and δ13C. To do so, a subsample containing 0.25–0.5 mg C was weighed into a tin capsule and analysed on a coupled elemental analyser–isotope ratio mass spectrometer (Thermo Flash HT/EA or CE 1110 coupled to a Delta V Advantage). The presence of carbonates was visually checked on a subset of samples by adding 6 M HCl to a subsample, with no bubbles being observed. Therefore, also considering the low soil pH at all sites (< 6.5), the samples were not acidified before OC analysis.

For the analysis of radiocarbon (reported as Δ14C), the whole soil and MAOM for one replicate of each treatment were analysed. A homogenised subsample was weighed into a silver cup and fumigated for 72 h using 37 % HCl (Komada et al.2008). Afterwards, the samples were neutralized for 24 h at 60 °C over solid NaOH to remove the acid, and packed in tinfoil. Analysis was performed using a Gas Ion Source (Micadas) at ETH Zürich. Measured 14C/12C ratios were normalized using oxalic acid II (NIST SRM4990C). It is noted that due to technical issues, data on Δ14C could not be analysed for all treatments at some sites. Values of Δ14C were converted to radiocarbon ages, after conversion to F14C values, using the F14CtoC14 function from the rice package (Blaauw2024) in R.

Stocks of particulate OC (POC) and mineral-associated OC (MAOC) were calculated by multiplying the OC % of each fraction with the mass of the respective soil layer. It has been observed that treatments in field trials can lead to changes in bulk density over time. When this occurs, it is preferable to report SOC stocks down to an equivalent soil mass rather than to a fixed depth, to avoid bias caused by collecting more (or less) soil in certain treatments at the same sampling depth (Ellert and Bettany1995). In our study, however, bulk density differences between treatments within each site were minimal (see above) indicating that the same amount of soil was present in every depth layer at the same site for the different treatments. Therefore, POC and MAOC stocks were reported down to a common depth, rather than for an equivalent soil mass.

To estimate the portion of SOC from the organic resources that has been stabilised as MAOC, an end-member model was applied (after rearranging the terms):

(1) C or = δ 13 C TR C TOT - δ 13 C CT C TOT δ 13 C or - δ 13 C CT

where Cor is the portion of MAOC derived from the organic resource (%), CTOT the total portion of MAOC (100 %), δ13Cor is the δ13C value of the organic resource (‰), δ13CCT is the δ13C value of MAOC in the control treatment (‰), and δ13CTR is the δ13C value of MAOC in the treatment receiving the organic resource (‰). As we had no reliable estimate of the δ13C of the applied manure, only the portion of C directly originating from Tithonia diversifolia of MAOC was estimated, assuming a δ13C value of Tithonia diversifolia of 29 ‰ (Kimetu and Lehmann2010). To estimate the portion of all C from Tithonia diversifolia over the course of the experiment, the absolute amount of MAOC derived from Tithonia was calculated by multiplying the total amount of MAOC by Cor, and dividing this by the total amount of OC from added Tithonia residues over all experimental years.

2.5 Statistical analyses

The analysis of significant differences in stocks of POC and MAOC for different depth intervals between the treatments per site (Figs. 2, 3, and S14) was done separately per depth layer, after fitting a linear mixed effects model (using the lme function from the nlme package in R Pinheiro et al.2024) following the procedures outlined in Zuur et al. (2009), with site and treatment as fixed effects and nested site/block as a random effect. A variance structure (varIdent; Pinheiro et al.2024) was added to allow for differences in variance between (1) treatments for the MAOC stocks of the uppermost layer, for (2) treatment and site for POC of the uppermost layers, and for (3) POC and MAOC in the subsoil and for all layers combined. Significant differences (p<0.05) were determined using the emmeans function from the emmeans package (Lenth2024), and letters were assigned using the cld function from the multcomp package (Hothorn et al.2008).

The statistical significance of the difference in the δ13C values of POC and MAOC between treatments for the same site and depth (Fig. 4) was tested separately for each SOC fraction and site. Similar to SOC stocks, a linear mixed effects model was fitted using the lme function in R (Pinheiro et al.2024) with treatment and depth as fixed effects, and a random intercept for block. For the δ13C of POC at Machanga, a variance structure (varIdent) was added to allow for differences in the variance of treatment. For all other sites and fractions, a variance structure (varIdent) was added for treatment and depth. Significant differences were identified using the emmeans function (emmeans package; Lenth2024) and letters were assigned using the cld function (multcomp package; Hothorn et al.2008). Statistical analyses to determine significant differences in the portion of POC and MAOC of total SOC (Figs. S15 and S16) are described in Sect. S1.3.

3 Results

3.1 Soil pH

The studied soils were acidic, with pHH2O values between 4.5 and 6.5 (Fig. S7). No consistent effect of treatment on pH was observed across all sites, while at individual sites certain patterns were observed. At Sidada, a site with a clayey soil, the addition of mineral N fertilizer (control + N) led to lower pH values throughout the soil profile compared to the other treatments, while at the other sites this effect was only observed in the topsoil. At other sites, TD (Embu) and FYM (Machanga) treatments had higher pH values compared to the other treatments throughout the soil profile.

3.2 Organic carbon concentration and C:N ratio of POM and MAOM

The C:N ratios of POM were consistently higher than those of MAOM, indicating a separation between the two fractions, although with a varying degree between sites (Fig. S10). While the C:N ratios of replicates of MAOM for the same treatment were similar (Fig. S11), a larger variation was observed between the replicates of the POM fractions, mainly at the sandy sites (Fig. S10). At the clayey sites, the OC content of POM was consistently between ca. 35 % and 45 %, while at the sandy sites it varied more widely, ranging from ca. 10 % to 40 % (Fig. S12). The latter suggests that some MAOC might have been present in the POM fractions at the sandy sites, which is supported by the lower C:N ratios of POM in certain treatments at the sandy sites (Fig. S10). In contrast, the OC concentrations of the MAOM fractions were more consistent for replicates of the same treatment, indicating minimal contamination with POM (Fig. S12).

The C:N ratio of MAOM was similar for the different treatments at the same site (Fig. S10). The low C:N ratio (C:N<12) of the MAOM fractions from the control and control + N treatments suggests a minimal direct incorporation of maize-derived OC in the stabilised MAOC fraction, as the C:N of maize root biomass is typically around 20–40 (Ordóñez et al.2020; Li et al.2022). The similar C:N ratio at the clayey sites between MAOM on the one hand, and Tithonia (12–15, Partey et al.2011) and farmyard manure (9.9–15.4, Laub et al.2023a) on the other hand, does not allow to draw similar conclusions about the origin of MAOM for these treatments. At the sandy sites, however, the low C:N ratio of MAOM (values of ca. 6) suggests a limited direct incorporation without microbial processing of any organic resource resources into MAOM.

3.3 Depth profiles of MAOC and POC concentration and stocks

The majority of SOC throughout the soil profiles was present in the MAOC fraction (Fig. 1). However, the depth trend of the relative contribution of MAOC to total SOC varied inconsistently among the different sites (Fig. S13). For example, at Embu, the clayey site in central Kenya, the average relative contribution of MAOC was between 85.4 %–87.9 % in the top 15 cm, with only a limited increase with depth (88.6 %–93.4 % MAOC in the 30–50 cm depth layer). In contrast, at Sidada, the clayey site in western Kenya, the contribution of MAOC increased from 80.6 %–83.5 % in the top 15 cm to between 92.8 %–96.2 % in the 30–50 cm layer. At both sandy sites, the relative contribution of MAOC to total SOC increased with depth, with values of up to 88.7 % MAOC in the topsoil to as high as 97.1 % in the subsoil.

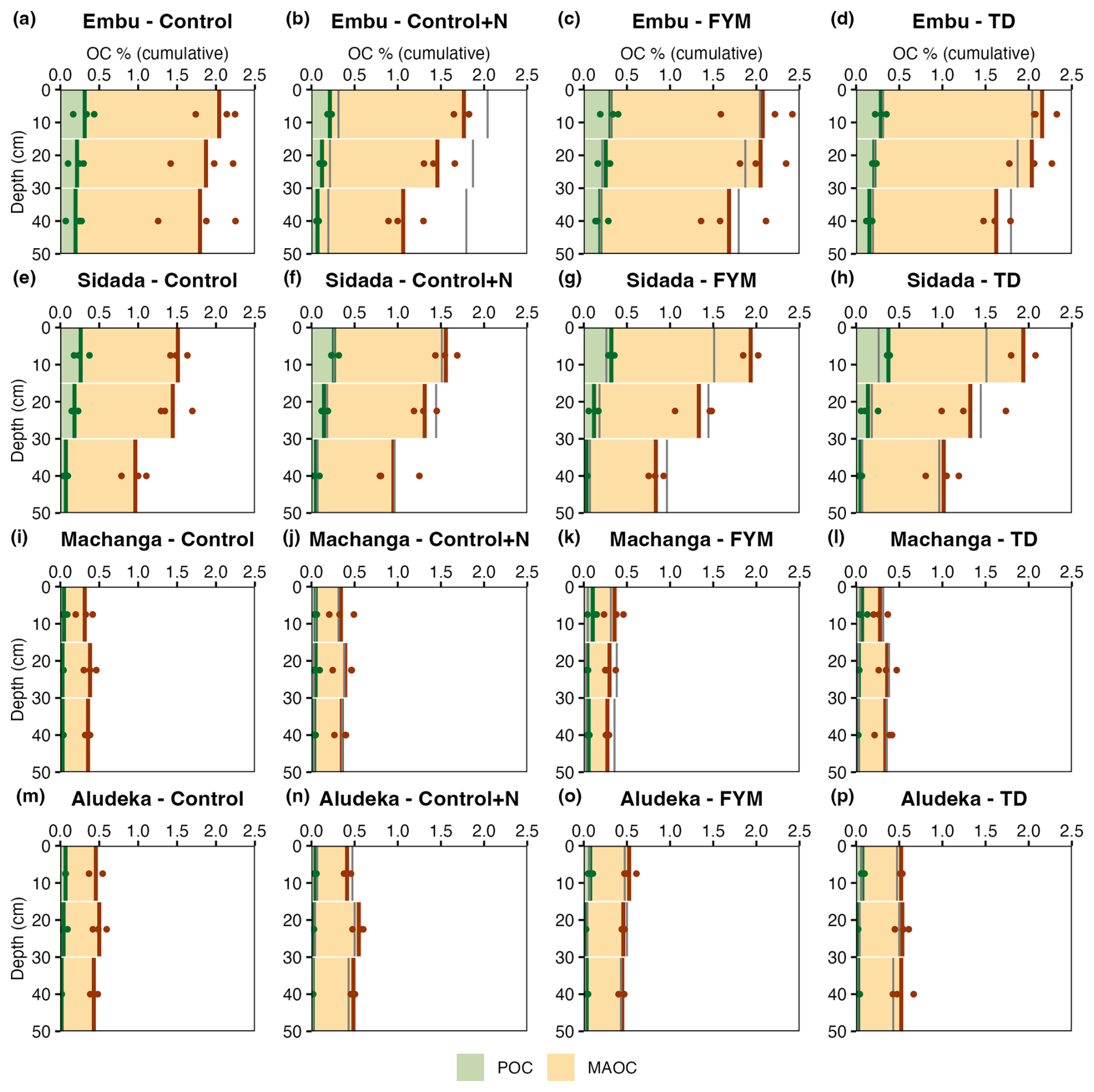
https://soil.copernicus.org/articles/12/187/2026/soil-12-187-2026-f01

Figure 1Depth profiles of the cumulative concentration of POC (green) and MAOC (orange), relative to total soil mass, for the different measured depth layers. Dots show the individual measurements. Coloured lines show the average values for that treatment, while the grey line shows the POC or MAOC concentrations for the control treatment of the same site and the same depth. The two top rows show results for the clayey sites, the bottom two rows show results for the sandy sites.

Download

The effect of treatment on total stock of MAOC down to 50 cm was different between the sites (Fig. S14). For the sites in Western Kenya, no significant differences in the amount of MAOC between treatments down to 50 cm were observed: on average between 6.1 and 7.2 kg MAOC m−2 at Sidada and between 3.5 and 4.0 kg MAOC m−2 at Aludeka. At Embu, the clayey site in central Kenya, the control + N treatment had significantly lower MAOC stocks (on average 6.1 kg MAOC m−2) compared to the other treatments (between on average 8.0 and 8.2 kg MAOC m−2) down to 50 cm. In contrast, at Machanga, the sandy site in central Kenya, the FYM treatment had significantly lower MAOC stocks (on average 1.9 kg MAOC m−2) compared to the control treatment (on average 2.5 kg MAOC m−2) down to 50 cm. However, the loss of surface soil due to soil erosion complicates the interpretation of these results at Machanga, as it cannot be excluded that some of the original subsoil was present in the collected topsoil samples.

3.4 Particulate and mineral-associated OC stocks in the topsoil

The addition of 4 t C ha1 yr−1 in the form of farmyard manure or Tithonia diversifolia over 16 and 19 consecutive years at the central and western sites, respectively, did not have a uniform positive effect on the stocks of POC or MAOC in the soil layer receiving these resources (0–15 cm) (Fig. 2). At both sandy sites, no significant differences were found in either POC or MAOC stocks between treatments. While the lack of significance for POC might be partially due to the combination of large variability and a limited number of replicates (n=3), MAOC results were more consistent between the three replicates (Fig. 2e–h). At Machanga, there was even a tendency for lower MAOC stocks in treatments receiving organic resource resources, compared to both treatments without external OC inputs (Fig. 2g). Again here the interpretation of these results is complicated by the presence of soil erosion at this site.

https://soil.copernicus.org/articles/12/187/2026/soil-12-187-2026-f02

Figure 2Stocks of POC (top row, a–d) and MAOC (bottom row, e–h) for the top 15 cm (expressed as kg C m−2 down to 15 cm). Bars show the average stocks, while dots show the individual measurements. Treatments within the same site that do not share any letter are significantly different from each other (p<0.05). The vertical lines show the uncertainty of individual data points due to variability in bulk density (n=12, see Sect. 2.2). These are not visible in case the line was smaller than the dots. No error for the averages (the bars) are shown, due to the limited number of replicates (n=3).

Download

At the clayey sites, no significant differences in POC stocks were observed between treatments at Embu, while at Sidada the TD treatment had significantly larger POC stocks compared to Control + N. Furthermore, there was a tendency for the FYM treatment to have a higher POC content than the treatments not receiving organic resources. At Embu, the TD treatment had larger MAOC stocks compared to the Control+N treatment, while at Sidada the FYM treatment had significantly larger MAOC stocks compared to both treatments not receiving organic resources. In summary, there was no effect of the addition of large amounts of organic resources on the amount of stabilised SOC in the topsoil of the sandy soils, and a mixed but limited effect in the clayey soils.

3.5 Particulate and mineral-associated OC stocks in the subsoil

Similarly, in the soil below the plough layer (15–50 cm depth), there were limited differences in POC or MAOC stocks between treatments at the same site (Fig. 3). At the sandy sites, the only significant difference in the POC stocks was between the FYM and TD treatments at Machanga, with neither differing significantly from both treatments not receiving organic resources. At Aludeka, no significant differences in subsoil MAOC were observed between the treatments, while at Machanga, the FYM treatment had significantly lower MAOC stocks compared to the control treatment.

https://soil.copernicus.org/articles/12/187/2026/soil-12-187-2026-f03

Figure 3Stocks of POC (top row, a–d) and MAOC (bottom row, e–h) below the plough layer (15–50 cm depth; expressed as kg C m−2). Bars show the average stocks, while dots show the individual measurements. Treatments within the same site that do not share any letter are significantly different from each other (p<0.05). The vertical lines show the uncertainty of individual data points due to the variation in bulk density between the three replicates. No error for the averages (the bars) are shown due to the limited number of replicates (n=3).

Download

At the clayey site in western Kenya, Sidada, no significant differences were observed in either subsoil POC or MAOC stocks, while there was a tendency towards lower POC stocks in the treatments receiving organic resources. At the clayey site of Embu, the Control+N treatment had the lowest POC and MAOC stocks, with POC stocks being significantly lower than those in the FYM and TD treatments, and the MAOC stocks significantly lower than those in the TD treatment. In summary, these results show that at none of the sites, additions of large amounts of organic resources led to higher MAOC stocks below the plough layer compared to the control treatments.

3.6 Sources of stabilized SOC along the soil profile

Stable C isotopes (δ13C) can provide insights into the sources of SOC. Maize crops have a C4 signal (δ13C values of 10 to 12 ‰, with water and N limitation typically changing the δ13C value of maize up to less than 1 ‰ Dercon et al.2006; Monneveux et al.2007; Cabrera-Bosquet et al.2009). Tithonia diversifolia follows the C3 photosynthetic pathway, with a δ13C value of ca. 29 ‰ (Kimetu and Lehmann2010). The δ13C value of the applied manure is unknown, and is likely to have varied both between the sites and through time, depending on the source of manure.

The variation in δ13C of MAOC in the clayey soils was limited, with no significant differences between any treatments at any depth (Fig. 4). For the sandy sites, this variation was larger. At Machanga, the δ13C values of MAOC under the FYM treatment were significantly lower than those in the control treatment throughout the depth profile. In the topsoil, also the TD treatment had a significantly lower δ13C value compared to the control treatment. At Aludeka, the TD treatment had a significantly lower δ13C value compared to all other treatments in the topsoil. These results suggest that while at the clayey sites only a limited portion of MAOC consists of C derived from the organic resources, at the sandy sites a larger portion of MAOC consisted of added C from farmyard manure and Tithonia diversifolia. The addition of N fertilizer did not have a significant effect on the stabilisation of added OC (except for the 15–30 cm layer at Machanga), as this would have led to additional maize-derived OC being stabilised, which is the sole source of OC in this treatment. It is noted, however, that aboveground biomass was removed in all treatments, so that only an increase in root biomass upon N fertilization could have contributed to additional OC stabilisation. This implies the absence of a substantial effect of mineral N fertilization on the stabilisation of root-derived OC.

https://soil.copernicus.org/articles/12/187/2026/soil-12-187-2026-f04

Figure 4Depth profiles of δ13C of MAOC (top row, a–d) and POC (bottom row, e–h) for the different sites. Thin lines show the individual profiles, thick lines show the average per treatment. No letters of significance are shown to maintain readability, but significant differences are presented in the main text.

Download

To estimate the contribution of C from Tithonia diversifolia biomass to MAOC in the TD treatment, we used an end-member model with the δ13C values of MAOC for the 0–15 cm depth layer in the control and TD treatments. According to these calculations, the portion of MAOC derived from Tithonia is 0.5 % (Embu) and 11.9 % (Sidada) at the clayey sites, and 24.7 % (Machanga) and 39.3 % (Aludeka) at the sandy sites. The overall portion of OC from added Tithonia biomass during the entire experimental duration that was stabilised as MAOC (the apparent carbon use efficiency; CSEa) were 0.2 % (Embu) and 4.9 % (Sidada) at the clayey sites, and 1.6 % (Machanga) and 6.7 % (Aludeka) at the sandy sites. When accounting for the absolute amount of MAOC, which was higher at the clayey than the sandy sites, the absolute amount of C from Tithonia that was stabilised is on average 313 g C m−2 at Sidada, 15 g m−2 at Embu, and 124 and 432 g C m−2 at Machanga and Aludeka, respectively. This equates to stabilisation rates of 19.6 g C m−2 yr−1 at Sidada, 0.8 g C m−2 yr−1 at Embu, and 6.5 and 27.0 g C m−2 yr−1 at Machanga and Aludeka, respectively, at additions of 400 g C m−2 yr−1.

At the clayey sites, the variation in δ13C for POC between different treatments was larger than for MAOC. At Embu, the only significant difference was found in the topsoil layer, between the TD and control + N treatments, while at Sidada no significant differences were observed. As for MAOC, there was more variation between the δ13C values of POC at the sandy sites. At Machanga, the FYM treatment resulted in δ13C values that were significantly different from both treatments receiving no organic resources for all depth layers. The TD treatment had δ13C values that were significantly different from the control + N treatment, but only in the upper two soil layers. At Aludeka, the topsoil δ13C value in the TD treatment was significantly lower than those in the other treatments, while in the 15–30 cm layer, it was only significantly different from the control treatment. These results show that the amount of organic resources present in the soil as POC is lower at the clayey sites compared to the sandy sites, where a substantial portion of POC is derived from the added organic resources, as evidenced by the δ13C values of the TD treatment.

Measurements of Δ14C showed lower values for MAOC compared to the total SOC for all sites and all depths (Fig. 5). All Δ14C values for MAOC in the topsoil were negative. Topsoil radiocarbon ages of MAOC are between 4 and 551 years at Embu, between 154 and 551 years at Sidada, between 697 and 1397 years at Machanga and between 155 and 407 years at Aludeka. This shows the presence of a substantial portion of old, stabilized SOC. It is noted that because MAOC is not a closed system, these radiocarbon ages only provide an indication of the MAOC age. At the sandy sites, the Δ14C values of MAOC in the topsoil of the control treatments not receiving organic resources were lower compared to the TD and FYM treatments, showing that more fresh OC is stabilised in the latter. This supports the results that a portion of the added organic resources was stabilised in the sandy soils, as was shown by the δ13C data. At the clayey Sidada site, differences in Δ14C of topsoil MAOC between the treatments were minimal, in line with the limited differences in δ13C values. Interpretation of the Δ14C data at Embu is complicated by the fact that this site was terraced before the onset of the experiment. Therefore, we refrain from drawing conclusions based on the Δ14C data at this site.

https://soil.copernicus.org/articles/12/187/2026/soil-12-187-2026-f05

Figure 5Depth profiles of Δ14C values of MAOC (dashed lines) and total SOC (full lines) for the different sites. Note that some data points are missing. As the field experiment at Embu was terraced before the onset of the experiment, this likely affected the observed depth pattern of Δ14C at this site.

Download

4 Discussion

4.1 Soil organic carbon storage and stabilisation in tropical agroecosystems

The objective of the present study was to evaluate how different organic resources and mineral N fertilizer affected SOC stabilisation in four tropical field trials of maize monocropping. This extends previous work we presented on how these treatments, among others, affected temporal trends in topsoil OC concentration and SOC stocks (Laub et al.2023a). Here, we bring together the results from both studies, to summarize these findings and draw comprehensive conclusions about SOC dynamics at these field trials. This is limited to results for the top 15 cm, as no significant differences in subsoil (15–50 cm) SOC stocks (Laub et al.2023a) and MAOC (this study) were detected, thereby confirming our third hypothesis. However, it is noted that in a recent study conducted at Embu (Müller et al.2025), a significantly higher SOC stock down to 60 cm was found for the treatment receiving manure, compared to the control treatment. The reason for this difference in results compared to the present study and Laub et al. (2023a) is not clear, and may be related to the higher vertical sampling resolution (5 cm depth intervals) in Müller et al. (2025). In this section, we use four different sources of information: (1) temporal trends in topsoil OC concentration over the course of the experiment (Laub et al.2023a), (2) total SOC stocks for the 0–15 cm depth layer, measured on samples collected after 16 (western Kenya) and 19 years (central Kenya) (Laub et al.2023a), (3) fractions of POM and MAOM measured on these samples (this study) and (4) measurements of δ13C and Δ14C values of these fractions (this study).

Repeated soil sampling showed that reductions in the topsoil OC concentration over the course of the experiments were lower in treatments receiving farmyard manure (a loss of 12 %) and Tithonia (23 %) at 4 t C ha1 yr−1 compared to the control treatment (42 %), as averaged across all sites (Laub et al.2023a). For treatments receiving only mineral N fertilizer at 240 kg N ha−1 yr−1, declines in topsoil OC concentration were not significantly different from the control treatment. This shows that treatments receiving large amounts of farmyard manure, and to a lower extent Tithonia, were the most effective at limiting SOC losses upon cultivation. It is noted that these data only concern OC concentrations, so no conclusions on quantitative changes in the absolute amount of SOC could be drawn.

The data on topsoil OC stocks measured in 2021, presented by Laub et al. (2023a), showed less significant differences between treatments compared to data on the OC concentration from the repeated soil sampling, particularly for the sandy sites. At Embu, the addition of farmyard manure and Tithonia led to significantly higher topsoil OC stocks compared to the control treatment, while this was only the case for farmyard manure at Sidada. At the sandy sites, however, none of the measured topsoil OC stocks of the treatments receiving organic resources were higher compared to the control treatment. This contrasts results from the repeated sampling of the topsoil OC concentration, which showed significant differences for the farmyard manure and Tithonia treatment at Aludeka, and the farmyard manure treatment at Machanga. Results for SOC stocks for the treatments receiving only mineral N fertilizer showed no significant difference with the control treatment at any site, aligning with results from temporal trends of the topsoil OC concentration. Data from Laub et al. (2023a) thus showed that for the sandy sites, the significant differences in the temporal trends of the decrease in topsoil OC concentration between the control and treatments receiving farmyard manure and Tithonia resources were not reflected in significant differences in topsoil OC stocks in the last sampling year (2021). This difference is partly due to the fact that the calculation of OC stocks in Laub et al. (2023a) accounted for the bulk density of individual samples, and partly to the limited number of replicates based on which topsoil OC stocks were calculated (n=3). For example, for the measured differences between the topsoil OC stocks of the control and the treatment receiving farmyard manure to be significant, 34 and 12 replicates would have been necessary at Machanga and Aludeka, respectively (based on a power analysis with 80 % power and α= 0.05). It is noted that the observed higher magnitude in differences between treatments using repeated sampling compared to a space-for-time approach contrasts studies reporting the opposite pattern (Corbeels et al.2019; Costa Junior et al.2013). For a detailed analysis of both datasets, reference is made to Laub et al. (2023a).

We complemented SOC stocks with data on the distribution of OC between POC and MAOC (Fig. 1). These showed that topsoil MAOC stocks were not consistently significantly higher for treatments receiving organic resources compared to the control treatments at the clayey sites, and never at the sandy sites (Fig. 2). Therefore, our first hypothesis of MAOC being the fraction where amended organic C is stabilised is rejected. Furthermore, these data showed the rapid mineralisation of organic resources in the topsoil. Therefore, also our second hypothesis of continuous organic matter addition leading to higher POC stocks is rejected. It is noted that although only 3 replicate measurements of the MAOC stock per treatment were available, the variation in calculated MAOC stocks within each treatment was limited (Fig. 2e–h).

Information on the portion of C from organic resources that was stabilised in the soil was provided by stable C isotopes. These data implied a limited stabilisation of added C in the topsoil at the clayey sites. This was confirmed by the calculated values of 0.5 % and 11.9 % of MAOC consisting of Tithonia-derived OC at Embu and Sidada, respectively. These translated into apparent carbon storage efficiencies (CSEa) of 0.2 % and 4.9 %, respectively, which are in the range of values reported for tropical cropland by Fujisaki et al. (2018), with an average of 8.2 ± 8.1 % (mean ± standard deviation). These values were lower than the ones calculated using the temporal trends in SOC concentration (11 % and 8 % respectively; Laub et al. (2023a)). At the sandy sites, Tithonia-derived MAOC was 24.7 % and 39.3 % at Machanga and Aludeka, respectively. This resulted in CSEa values of 1.6 % and 6.7 %, respectively, also lower compared to the values calculated using the temporal trends in OC concentration (2 % and 9 %; Laub et al.2023a). The lower CSEa values calculated using the δ13C of MAOC compared to calculations based on temporal trends of total SOC were expected. The latter accounts for changes in total SOC (i.e., MAOC and POC), while not being able to differentiate between native SOC and OC originating from organic resources. This shows the advantage of using δ13C data in addition to data on OC to quantify the stabilisation of added OC.

The Δ14C data of MAOC further suggest that stabilised SOC is likely to be a mixture between relatively young OC and OC of ages up to thousands of years, given the low Δ14C values despite a portion of fresh OC inputs being stabilised in the topsoil. These observations are in line with previous studies that found that stabilised SOC is a mixture of organic compounds with ages ranging from years to millennia (Sierra et al.2024; Schrumpf et al.2021; Schrumpf and Kaiser2015; Baisden et al.2002; Koarashi et al.2012). Furthermore, we observed higher Δ14C values of MAOC under treatments receiving organic resources compared to MAOC under the control treatment at the sandy sites, compared to the clayey sites. This supports the results derived from the δ13C data, which showed that a larger portion of MAOC at the sandy sites consisted of C originating from organic resources, compared to the clayey sites.

A synthesis of these results reveals that while treatments receiving farmyard manure and, to a lesser extent, Tithonia biomass, were most effective at limiting reductions in SOC concentration in the topsoil at the clayey sites, this was mainly due to prevented losses of native SOC and only to a limited extent to the stabilisation of added OC. For the sandy sites, in contrast, lower declines in topsoil OC concentration in treatments receiving organic resources were to a larger extent due to the stabilisation of added OC. The additional information on the distribution of OC in POC and MAOC, and their C isotopes thus adds important information to our understanding of how the addition of different organic resources affects the stabilisation of SOC.

4.2 Different response of stabilised SOC to organic resources in tropical versus temperate ecosystems

Sustainable management of SOC in arable soils is an important prerequisite for maintaining or improving soil health (Lal2016; Liptzin et al.2022), sustaining crop yields (Ma et al.2023), and preventing further increases in atmospheric CO2 from SOC mineralization (Sanderman et al.2017; Kopittke et al.2024). Achieving this requires a clear understanding of how crop management practices influence MAOC, as the majority of SOC in arable topsoils is associated with soil minerals (ca. 80 % globally; Hansen et al.2024).

Most studies examining the effect of organic resources on SOC stabilization in the topsoil have been conducted in temperate and northern agroecosystems. In many long-term experiments, the application of manure or other organic resources has been shown to lead to significantly higher stabilised SOC stocks (Just et al.2023; Samson et al.2020; Herbst et al.2018; Trigalet et al.2014). Although some studies have reported no significant effects (Mayer et al.2022; Salonen et al.2023), our results from field trials in Kenya thus contrast with the majority of findings from studies in temperate agroecosystems.

In one study conducted in Ivory Coast, Cardinael et al. (2022) found that while all treatments in a 19-year maize field trial resulted in SOC losses, the treatment receiving compost lost less SOC in the clay and fine silt fraction compared to the treatment without compost. Similar to our results, compost addition mainly led to reduced losses of stabilised SOC, instead of stabilising freshly-added OC. These findings cast some doubt on the generality of conclusions of meta-analyses suggesting that manure additions increase topsoil OC in tropical climates (although these conclusions remain uncertain due to limited data from these regions; Gross and Glaser2021). They also challenge the assumed potential to increase SOC stocks with conservation agriculture (no-tillage, mulching and crop rotations) in sub-Sahara Africa (Corbeels et al.2019), as these practices may not necessarily lead to actual stabilisation of additional SOC on soil minerals. Our results therefore suggest that knowledge gained for temperate agroecosystems cannot be directly applied to tropical ecosystems.

Key reasons for this difference are the distinct mineralogical composition (i.e. low-activity 1:1 clay minerals) and highly weathered nature of tropical soils, which are important controls on the SOC content (Kaiser and Guggenberger2003; Rasmussen et al.2018; Kramer and Chadwick2018; Doetterl et al.2018; Slessarev et al.2022). These 1:1 clays have less reactive surfaces to stabilise organic molecules, and are known to stabilise less SOC compared to 2:1 clays (Feng et al.2013; Georgiou et al.2022). Specifically for cropland in SSA, it has been shown that the most important controls on the SOC content are oxalate-extractable metals (a measure for secondary poorly crystalline minerals), the chemical index of alteration (a measure for weathering degree) and exchangeable Ca (von Fromm et al.2021). Given these limitations on the stabilisation of OC in highly weathered soils, once stabilised, organic molecules can remain stabilised by minerals for thousands to tens of thousands of years under natural conditions, as is evident by their high radiocarbon age (von Fromm et al.2024a). However, once natural ecosystems are disturbed, stabilised SOC is rapidly lost and it seems not possible to restore the original levels of stabilised SOC within a few decades, even by applying large amounts of organic resources.

Given the limited research on how the addition of different organic resources influences SOC stabilisation in tropical agroecosystems, especially in SSA, there is a pressing need for more studies to close this knowledge gap. Expanding this research would not only improve our understanding of the agricultural management practices required to maintain or increase SOC stocks and the processes governing this, but is necessary to improve SOC models simulating these processes in the tropics. The latter would be an important step forward, as using SOC fractions to improve the initiation, calibration and validation of SOC models can significantly improve the reliability of model outcomes (Herbst et al.2018; Tougma et al.2025).

5 Conclusions

Our analysis of the fractionation of SOC at four long-term field experiments in Kenya shows that the response to adding large quantities of organic resources (farmyard manure or Tithonia diversifolia biomass at 4 t C ha1 yr−1), with the goal of reducing SOC losses in croplands, differed between clayey and sandy soils. In the studied clayey soils, the portion of C from added organic resources stabilised on minerals in the topsoil was low, implying that reduced SOC losses in these treatments were mainly due to prevented losses of native SOC. At the sandy sites, in contrast, the lower losses of topsoil OC in treatments receiving organic resources compared to the control treatment were at least partly due to the stabilisation of OC originating from organic resources. Below the plough layer (15–50 cm depth), none of the treatments receiving organic resources had significantly higher MAOC stocks compared to the control treatment. In addition, the application of mineral N fertilizer did not have a significant effect on stocks of stabilised OC at any site. Our results show that rates of SOC stabilisation through organic resource additions in arable soils in sub-Sahara Africa may be lower than in temperate agroecosystems, where most research has been conducted to date. More studies in sub-Saharan Africa are therefore needed to more reliably assess the potential to increase stabilised SOC in croplands, and to identify the most effective management practices for SOC sequestration and consequently sustainable crop production.

Data availability

The data used in this manuscript is publicly available at https://doi.org/10.5281/zenodo.18225456 (Van de Broek2026).

Supplement

The supplement related to this article is available online at https://doi.org/10.5194/soil-12-187-2026-supplement.

Author contributions

The study was designed by MVdB and FSS. The lab work was performed by FSS, data analysis performed by FSS and MVdB and results interpreted by FSS, MVdB, ML and JS. The long-term field trials are managed by MWMM, DM, WW, MC, BV and JS, and JS and ML were involved in sample collection. The manuscript was prepared by MVdB, with inputs from all co-authors.

Competing interests

At least one of the (co-)authors is a member of the editorial board of SOIL. The peer-review process was guided by an independent editor, and the authors also have no other competing interests to declare.

Disclaimer

Publisher's note: Copernicus Publications remains neutral with regard to jurisdictional claims made in the text, published maps, institutional affiliations, or any other geographical representation in this paper. The authors bear the ultimate responsibility for providing appropriate place names. Views expressed in the text are those of the authors and do not necessarily reflect the views of the publisher.

Acknowledgements

We thank Sam Mathu for his help with shipping the samples, and the two anonymous reviewers for their valuable inputs to this manuscript.

Financial support

This research has been supported by the Swiss National Science Foundation (SNSF; Ambizione grant number PZ00P2_193617/1, granted to Marijn Van de Broek). The sampling of the field trials was supported by funds from the European Union's Horizon 2020 framework (LANDMARC; grant agreement ID 869367) and the Swiss National Science Foundation (SNSF; grant no. 172940). Additional support for this study was provided through the CGIAR Climate Action Program, and through the contributions of all funders to the CGIAR Trust Fund.

Review statement

This paper was edited by Mariet Hefting and reviewed by two anonymous referees.

References

Adams, A. M., Gillespie, A. W., Dhillon, G. S., Kar, G., Minielly, C., Koala, S., Ouattara, B., Kimaro, A. A., Bationo, A., Schoenau, J. J., and Peak, D.: Long-term effects of integrated soil fertility management practices on soil chemical properties in the Sahel, Geoderma, 366, 114207, https://doi.org/10.1016/j.geoderma.2020.114207, 2020. a

Baisden, W. T., Amundson, R., Cook, A. C., and Brenner, D. L.: Turnover and storage of C and N in five density fractions from California annual grassland surface soils, Global Biogeochemical Cycles, 16, 64-1–64-16, https://doi.org/10.1029/2001GB001822, 2002. a

Balesdent, J., Basile-Doelsch, I., Chadoeuf, J., Cornu, S., Derrien, D., Fekiacova, Z., and Hatté, C.: Atmosphere–soil carbon transfer as a function of soil depth, Nature, 559, 599–602, https://doi.org/10.1038/s41586-018-0328-3, 2018. a

Batjes, N. H.: Technologically achievable soil organic carbon sequestration in world croplands and grasslands, Land Degradation & Development, 30, 25–32, https://doi.org/10.1002/ldr.3209, 2019. a

Beillouin, D., Demenois, J., Cardinael, R., Berre, D., Corbeels, M., Fallot, A., Boyer, A., and Feder, F.: A global database of land management, land-use change and climate change effects on soil organic carbon, Scientific Data, 9, 228, https://doi.org/10.1038/s41597-022-01318-1, 2022. a

Beillouin, D., Corbeels, M., Demenois, J., Berre, D., Boyer, A., Fallot, A., Feder, F., and Cardinael, R.: A global meta-analysis of soil organic carbon in the Anthropocene, Nature Communications, 14, 3700, https://doi.org/10.1038/s41467-023-39338-z, 2023. a, b, c

Blaauw, M.: rice: Radiocarbon Equations, CRAN, https://CRAN.R-project.org/package=rice (last access: February 2026), 2024. a

Cabrera-Bosquet, L., Sánchez, C., and Araus, J. L.: How yield relates to ash content, Δ13C and Δ18O in maize grown under different water regimes, Annals of Botany, 104, 1207–1216, https://doi.org/10.1093/aob/mcp229, 2009. a

Cambardella, C. A. and Elliott, E. T.: Particulate Soil Organic-Matter Changes across a Grassland Cultivation Sequence, Soil Science Society of America Journal, 56, 777–783, https://doi.org/10.2136/sssaj1992.03615995005600030017x, 1992. a

Cardinael, R., Guibert, H., Kouassi Brédoumy, S. T., Gigou, J., N'Goran, K. E., and Corbeels, M.: Sustaining maize yields and soil carbon following land clearing in the forest–savannah transition zone of West Africa: Results from a 20-year experiment, Field Crops Research, 275, 108335, https://doi.org/10.1016/j.fcr.2021.108335, 2022. a, b, c

Cerli, C., Celi, L., Kalbitz, K., Guggenberger, G., and Kaiser, K.: Separation of light and heavy organic matter fractions in soil – Testing for proper density cut-off and dispersion level, Geoderma, 170, 403–416, https://doi.org/10.1016/j.geoderma.2011.10.009, 2012. a

Chenu, C., Angers, D. A., Barré, P., Derrien, D., Arrouays, D., and Balesdent, J.: Increasing organic stocks in agricultural soils: Knowledge gaps and potential innovations, Soil and Tillage Research, 188, 41–52, https://doi.org/10.1016/j.still.2018.04.011, 2019. a

Chivenge, P., Vanlauwe, B., and Six, J.: Does the combined application of organic and mineral nutrient sources influence maize productivity? A meta-analysis, Plant and Soil, 342, 1–30, https://doi.org/10.1007/s11104-010-0626-5, 2011. a, b, c

Corbeels, M., Cardinael, R., Naudin, K., Guibert, H., and Torquebiau, E.: The 4 per 1000 goal and soil carbon storage under agroforestry and conservation agriculture systems in sub-Saharan Africa, Soil and Tillage Research, 188, 16–26, https://doi.org/10.1016/j.still.2018.02.015, 2019. a, b, c, d

Costa Junior, C., Corbeels, M., Bernoux, M., Píccolo, M. C., Siqueira Neto, M., Feigl, B. J., Cerri, C. E. P., Cerri, C. C., Scopel, E., and Lal, R.: Assessing soil carbon storage rates under no-tillage: Comparing the synchronic and diachronic approaches, Soil and Tillage Research, 134, 207–212, https://doi.org/10.1016/j.still.2013.08.010, 2013. a

Cotrufo, M. F., Ranalli, M. G., Haddix, M. L., Six, J., and Lugato, E.: Soil carbon storage informed by particulate and mineral-associated organic matter, Nature Geoscience, 12, 989–994, https://doi.org/10.1038/s41561-019-0484-6, 2019. a, b

de Vries, W.: Soil carbon 4 per mille: a good initiative but let's manage not only the soil but also the expectations: Comment on Minasny et al. (2017) Geoderma 292: 59–86, Geoderma, 309, 111–112, https://doi.org/10.1016/j.geoderma.2017.05.023, 2018. a

Dercon, G., Clymans, E., Diels, J., Merckx, R., and Deckers, J.: Differential 13C Isotopic Discrimination in Maize at Varying Water Stress and at Low to High Nitrogen Availability, Plant and Soil, 282, 313–326, https://doi.org/10.1007/s11104-006-0001-8, 2006. a

Doetterl, S., Berhe, A. A., Arnold, C., Bodé, S., Fiener, P., Finke, P., Fuchslueger, L., Griepentrog, M., Harden, J. W., Nadeu, E., Schnecker, J., Six, J., Trumbore, S., Van Oost, K., Vogel, C., and Boeckx, P.: Links among warming, carbon and microbial dynamics mediated by soil mineral weathering, Nature Geoscience, 11, 589–593, https://doi.org/10.1038/s41561-018-0168-7, 2018. a

Don, A., Schumacher, J., and Freibauer, A.: Impact of tropical land-use change on soil organic carbon stocks – a meta-analysis, Global Change Biology, 17, 1658–1670, https://doi.org/10.1111/j.1365-2486.2010.02336.x, 2011. a

Ellert, B. H. and Bettany, J. R.: Calculation of organic matter and nutrients stored in soils under contrasting management regimes, Canadian Journal of Soil Science, 75, 529–538, https://doi.org/10.4141/cjss95-075, 1995. a

Falconnier, G. N., Cardinael, R., Corbeels, M., Baudron, F., Chivenge, P., Couëdel, A., Ripoche, A., Affholder, F., Naudin, K., Benaillon, E., Rusinamhodzi, L., Leroux, L., Vanlauwe, B., and Giller, K. E.: The input reduction principle of agroecology is wrong when it comes to mineral fertilizer use in sub-Saharan Africa, Outlook on Agriculture, 52, 311–326, https://doi.org/10.1177/00307270231199795, 2023. a

Feng, W., Plante, A. F., and Six, J.: Improving estimates of maximal organic carbon stabilization by fine soil particles, Biogeochemistry, 112, 81–93, https://doi.org/10.1007/s10533-011-9679-7, 2013. a

Fujisaki, K., Chevallier, T., Chapuis-Lardy, L., Albrecht, A., Razafimbelo, T., Masse, D., Ndour, Y. B., and Chotte, J.-L.: Soil carbon stock changes in tropical croplands are mainly driven by carbon inputs: A synthesis, Agriculture, Ecosystems & Environment, 259, 147–158, https://doi.org/10.1016/j.agee.2017.12.008, 2018. a

Georgiou, K., Jackson, R. B., Vindušková, O., Abramoff, R. Z., Ahlström, A., Feng, W., Harden, J. W., Pellegrini, A. F. A., Polley, H. W., Soong, J. L., Riley, W. J., and Torn, M. S.: Global stocks and capacity of mineral-associated soil organic carbon, Nature Communications, 13, 3797, https://doi.org/10.1038/s41467-022-31540-9, 2022. a, b, c, d

Gram, G., Roobroeck, D., Pypers, P., Six, J., Merckx, R., and Vanlauwe, B.: Combining organic and mineral fertilizers as a climate-smart integrated soil fertility management practice in sub-Saharan Africa: A meta-analysis, PLOS ONE, 15, e0239552, https://doi.org/10.1371/journal.pone.0239552, 2020. a, b, c, d, e

Gross, A. and Glaser, B.: Meta-analysis on how manure application changes soil organic carbon storage, Scientific Reports, 11, 5516, https://doi.org/10.1038/s41598-021-82739-7, 2021. a, b, c

Hansen, P. M., Even, R., King, A. E., Lavallee, J., Schipanski, M., and Cotrufo, M. F.: Distinct, direct and climate-mediated environmental controls on global particulate and mineral-associated organic carbon storage, Global Change Biology, 30, e17080, https://doi.org/10.1111/gcb.17080, 2024. a, b, c, d

Heckman, K., Hicks Pries, C. E., Lawrence, C. R., Rasmussen, C., Crow, S. E., Hoyt, A. M., von Fromm, S. F., Shi, Z., Stoner, S., McGrath, C., Beem-Miller, J., Berhe, A. A., Blankinship, J. C., Keiluweit, M., Marín-Spiotta, E., Monroe, J. G., Plante, A. F., Schimel, J., Sierra, C. A., Thompson, A., and Wagai, R.: Beyond bulk: Density fractions explain heterogeneity in global soil carbon abundance and persistence, Global Change Biology, 28, 1178–1196, https://doi.org/10.1111/gcb.16023, 2022. a

Herbst, M., Welp, G., Macdonald, A., Jate, M., Hädicke, A., Scherer, H., Gaiser, T., Herrmann, F., Amelung, W., and Vanderborght, J.: Correspondence of measured soil carbon fractions and RothC pools for equilibrium and non-equilibrium states, Geoderma, 314, 37–46, https://doi.org/10.1016/j.geoderma.2017.10.047, 2018. a, b

Hothorn, T., Bretz, F., and Westfall, P.: Simultaneous Inference in General Parametric Models, Biometrical Journal, 50, 346–363, 2008. a, b

Just, C., Armbruster, M., Barkusky, D., Baumecker, M., Diepolder, M., Döring, T. F., Heigl, L., Honermeier, B., Jate, M., Merbach, I., Rusch, C., Schubert, D., Schulz, F., Schweitzer, K., Seidel, S., Sommer, M., Spiegel, H., Thumm, U., Urbatzka, P., Zimmer, J., Kögel-Knabner, I., and Wiesmeier, M.: Soil organic carbon sequestration in agricultural long-term field experiments as derived from particulate and mineral-associated organic matter, Geoderma, 434, 116472, https://doi.org/10.1016/j.geoderma.2023.116472, 2023. a

Kaiser, K. and Guggenberger, G.: Mineral surfaces and soil organic matter, European Journal of Soil Science, 54, 219–236, https://doi.org/10.1046/j.1365-2389.2003.00544.x, 2003. a

Kimetu, J. M. and Lehmann, J.: Stability and stabilisation of biochar and green manure in soil with different organic carbon contents, Soil Research, 48, 577, https://doi.org/10.1071/SR10036, 2010. a, b

Koarashi, J., Hockaday, W. C., Masiello, C. A., and Trumbore, S. E.: Dynamics of decadally cycling carbon in subsurface soils, Journal of Geophysical Research: Biogeosciences, 117, https://doi.org/10.1029/2012JG002034, 2012. a

Komada, T., Anderson, M. R., and Dorfmeier, C. L.: Carbonate removal from coastal sediments for the determination of organic carbon and its isotopic signatures, δ13C and Δ14C: comparison of fumigation and direct acidification by hydrochloric acid, Limnology and Oceanography: Methods, 6, 254–262, https://doi.org/10.4319/lom.2008.6.254, 2008. a

Kopittke, P. M., Dalal, R. C., McKenna, B. A., Smith, P., Wang, P., Weng, Z., van der Bom, F. J. T., and Menzies, N. W.: Soil is a major contributor to global greenhouse gas emissions and climate change, SOIL, 10, 873–885, https://doi.org/10.5194/soil-10-873-2024, 2024. a

Kramer, M. G. and Chadwick, O. A.: Climate-driven thresholds in reactive mineral retention of soil carbon at the global scale, Nature Climate Change, 8, 1104–1108, https://doi.org/10.1038/s41558-018-0341-4, 2018. a

Lal, R.: Soil health and carbon management, Food and Energy Security, 5, 212–222, https://doi.org/10.1002/fes3.96, 2016. a

Laub, M., Corbeels, M., Couëdel, A., Ndungu, S. M., Mucheru-Muna, M. W., Mugendi, D., Necpalova, M., Waswa, W., Van de Broek, M., Vanlauwe, B., and Six, J.: Managing soil organic carbon in tropical agroecosystems: evidence from four long-term experiments in Kenya, SOIL, 9, 301–323, https://doi.org/10.5194/soil-9-301-2023, 2023a. a, b, c, d, e, f, g, h, i, j, k, l, m, n, o, p, q, r, s, t, u, v, w, x, y, z, aa

Laub, M., Corbeels, M., Mathu Ndungu, S., Mucheru-Muna, M. W., Mugendi, D., Necpalova, M., Van de Broek, M., Waswa, W., Vanlauwe, B., and Six, J.: Combining manure with mineral N fertilizer maintains maize yields: Evidence from four long-term experiments in Kenya, Field Crops Research, 291, 108788, https://doi.org/10.1016/j.fcr.2022.108788, 2023b. a, b, c

Lavallee, J. M., Soong, J. L., and Cotrufo, M. F.: Conceptualizing soil organic matter into particulate and mineral-associated forms to address global change in the 21st century, Global Change Biology, 26, 261–273, https://doi.org/10.1111/gcb.14859, 2020. a

Lehtinen, T., Schlatter, N., Baumgarten, A., Bechini, L., Krüger, J., Grignani, C., Zavattaro, L., Costamagna, C., and Spiegel, H.: Effect of crop residue incorporation on soil organic carbon and greenhouse gas emissions in European agricultural soils, Soil Use and Management, 30, 524–538, https://doi.org/10.1111/sum.12151, 2014. a

Lenth, R. V.: emmeans: Estimated Marginal Means, aka Least-Squares Means, r package version 1.10.3, https://CRAN.R-project.org/package=emmeans (last access: February 2026), 2024. a, b

Li, Q., Ren, Y., Fu, H., Li, Z., Kong, F., and Yuan, J.: Cultivar differences in carbon and nitrogen accumulation, balance, and grain yield in maize, Frontiers in Plant Science, 13, https://doi.org/10.3389/fpls.2022.992041, 2022. a

Liptzin, D., Norris, C. E., Cappellazzi, S. B., Bean, G. M., Cope, M., Greub, K. L. H., Rieke, E. L., Tracy, P. W., Aberle, E., Ashworth, A., Bañuelos Tavarez, O., Bary, A. I., Baumhardt, R. L., Borbón Gracia, A., Brainard, D. C., Brennan, J. R., Briones Reyes, D., Bruhjell, D., Carlyle, C. N., Crawford, J. J. W., Creech, C. F., Culman, S. W., Deen, B., Dell, C. J., Derner, J. D., Ducey, T. F., Duiker, S. W., Dyck, M. F., Ellert, B. H., Entz, M. H., Espinosa Solorio, A., Fonte, S. J., Fonteyne, S., Fortuna, A.-M., Foster, J. L., Fultz, L. M., Gamble, A. V., Geddes, C. M., Griffin-LaHue, D., Grove, J. H., Hamilton, S. K., Hao, X., Hayden, Z. D., Honsdorf, N., Howe, J. A., Ippolito, J. A., Johnson, G. A., Kautz, M. A., Kitchen, N. R., Kumar, S., Kurtz, K. S. M., Larney, F. J., Lewis, K. L., Liebman, M., Lopez Ramirez, A., Machado, S., Maharjan, B., Martinez Gamiño, M. A., May, W. E., McClaran, M. P., McDaniel, M. D., Millar, N., Mitchell, J. P., Moore, A. D., Moore, P. A., Mora Gutiérrez, M., Nelson, K. A., Omondi, E. C., Osborne, S. L., Osorio Alcalá, L., Owens, P., Pena-Yewtukhiw, E. M., Poffenbarger, H. J., Ponce Lira, B., Reeve, J. R., Reinbott, T. M., Reiter, M. S., Ritchey, E. L., Roozeboom, K. L., Rui, Y., Sadeghpour, A., Sainju, U. M., Sanford, G. R., Schillinger, W. F., Schindelbeck, R. R., Schipanski, M. E., Schlegel, A. J., Scow, K. M., Sherrod, L. A., Shober, A. L., Sidhu, S. S., Solís Moya, E., St Luce, M., Strock, J. S., Suyker, A. E., Sykes, V. R., Tao, H., Trujillo Campos, A., Van Eerd, L. L., van Es, H., Verhulst, N., Vyn, T. J., Wang, Y., Watts, D. B., Wright, D. L., Zhang, T., Morgan, C. L. S., and Honeycutt, C. W.: An evaluation of carbon indicators of soil health in long-term agricultural experiments, Soil Biology and Biochemistry, 172, 108708, https://doi.org/10.1016/j.soilbio.2022.108708, 2022. a

Lugato, E., Lavallee, J. M., Haddix, M. L., Panagos, P., and Cotrufo, M. F.: Different climate sensitivity of particulate and mineral-associated soil organic matter, Nature Geoscience, 14, 295–300, https://doi.org/10.1038/s41561-021-00744-x, 2021. a

Ma, Y., Woolf, D., Fan, M., Qiao, L., Li, R., and Lehmann, J.: Global crop production increase by soil organic carbon, Nature Geoscience, 16, 1159–1165, https://doi.org/10.1038/s41561-023-01302-3, 2023. a

Mayer, M., Krause, H.-M., Fliessbach, A., Mäder, P., and Steffens, M.: Fertilizer quality and labile soil organic matter fractions are vital for organic carbon sequestration in temperate arable soils within a long-term trial in Switzerland, Geoderma, 426, 116080, https://doi.org/10.1016/j.geoderma.2022.116080, 2022. a

Minasny, B., Malone, B. P., McBratney, A. B., Angers, D. A., Arrouays, D., Chambers, A., Chaplot, V., Chen, Z.-S., Cheng, K., Das, B. S., Field, D. J., Gimona, A., Hedley, C. B., Hong, S. Y., Mandal, B., Marchant, B. P., Martin, M., McConkey, B. G., Mulder, V. L., O'Rourke, S., Richer-de Forges, A. C., Odeh, I., Padarian, J., Paustian, K., Pan, G., Poggio, L., Savin, I., Stolbovoy, V., Stockmann, U., Sulaeman, Y., Tsui, C.-C., Vågen, T.-G., van Wesemael, B., and Winowiecki, L.: Soil carbon 4 per mille, Geoderma, 292, 59–86, https://doi.org/10.1016/j.geoderma.2017.01.002, 2017. a, b

Monneveux, P., Sheshshayee, M. S., Akhter, J., and Ribaut, J.-M.: Using carbon isotope discrimination to select maize (Zea mays L.) inbred lines and hybrids for drought tolerance, Plant Science, 173, 390–396, https://doi.org/10.1016/j.plantsci.2007.06.003, 2007. a

Müller, C. R., Six, J., Brosens, L., Baumann, P., Minella, J. P. G., Govers, G., and Van de Broek, M.: The limited effect of deforestation on stabilized subsoil organic carbon in a subtropical catchment, SOIL, 10, 349–365, https://doi.org/10.5194/soil-10-349-2024, 2024. a

Müller, C. R., Six, J., Njiru, D. M., Vanlauwe, B., and Van de Broek, M.: Depth effects of long-term organic residue application on soil organic carbon stocks in central Kenya, Biogeosciences, 22, 2733–2747, https://doi.org/10.5194/bg-22-2733-2025, 2025. a, b

Oldfield, E. E., Bradford, M. A., and Wood, S. A.: Global meta-analysis of the relationship between soil organic matter and crop yields, SOIL, 5, 15–32, https://doi.org/10.5194/soil-5-15-2019, 2019. a

Ordóñez, R. A., Archontoulis, S. V., Martinez-Feria, R., Hatfield, J. L., Wright, E. E., and Castellano, M. J.: Root to shoot and carbon to nitrogen ratios of maize and soybean crops in the US Midwest, European Journal of Agronomy, 120, 126130, https://doi.org/10.1016/j.eja.2020.126130, 2020. a

Padarian, J., Minasny, B., McBratney, A., and Smith, P.: Soil carbon sequestration potential in global croplands, PeerJ, 10, e13740, https://doi.org/10.7717/peerj.13740, 2022. a

Partey, S. T., Quashie-Sam, S. J., Thevathasan, N. V., and Gordon, A. M.: Decomposition and nutrient release patterns of the leaf biomass of the wild sunflower (Tithonia diversifolia): a comparative study with four leguminous agroforestry species, Agroforestry Systems, 81, 123–134, https://doi.org/10.1007/s10457-010-9360-5, 2011. a

Paustian, K., Lehmann, J., Ogle, S., Reay, D., Robertson, G. P., and Smith, P.: Climate-smart soils, Nature, 532, 49–57, https://doi.org/10.1038/nature17174, 2016. a

Pinheiro, J., Bates, D., and R Core Team: nlme: Linear and Nonlinear Mixed Effects Models, r package version 3.1-165, https://CRAN.R-project.org/package=nlme (last access: February 2026), 2024. a, b, c

Poeplau, C. and Don, A.: Carbon sequestration in agricultural soils via cultivation of cover crops – A meta-analysis, Agriculture, Ecosystems & Environment, 200, 33–41, https://doi.org/10.1016/j.agee.2014.10.024, 2015. a

Poeplau, C., Don, A., Vesterdal, L., Leifeld, J., Van Wesemael, B., Schumacher, J., and Gensior, A.: Temporal dynamics of soil organic carbon after land-use change in the temperate zone – carbon response functions as a model approach, Global Change Biology, 17, 2415–2427, https://doi.org/10.1111/j.1365-2486.2011.02408.x, 2011. a

Poulton, P., Johnston, J., Macdonald, A., White, R., and Powlson, D.: Major limitations to achieving “4 per 1000” increases in soil organic carbon stock in temperate regions: Evidence from long-term experiments at Rothamsted Research, United Kingdom, Global Change Biology, 24, 2563–2584, https://doi.org/10.1111/gcb.14066, 2018. a

Powlson, D. S., Stirling, C. M., Thierfelder, C., White, R. P., and Jat, M. L.: Does conservation agriculture deliver climate change mitigation through soil carbon sequestration in tropical agro-ecosystems?, Agriculture, Ecosystems & Environment, 220, 164–174, https://doi.org/10.1016/j.agee.2016.01.005, 2016. a

Rasmussen, C., Heckman, K., Wieder, W. R., Keiluweit, M., Lawrence, C. R., Berhe, A. A., Blankinship, J. C., Crow, S. E., Druhan, J. L., Hicks Pries, C. E., Marin-Spiotta, E., Plante, A. F., Schädel, C., Schimel, J. P., Sierra, C. A., Thompson, A., and Wagai, R.: Beyond clay: towards an improved set of variables for predicting soil organic matter content, Biogeochemistry, 137, 297–306, https://doi.org/10.1007/s10533-018-0424-3, 2018. a

Rosenstock, T. S. and Wilkes, A.: Reorienting emissions research to catalyse African agricultural development, Nature Climate Change, 11, 463–465, https://doi.org/10.1038/s41558-021-01055-0, 2021. a

Rusinamhodzi, L., Corbeels, M., Zingore, S., Nyamangara, J., and Giller, K. E.: Pushing the envelope? Maize production intensification and the role of cattle manure in recovery of degraded soils in smallholder farming areas of Zimbabwe, Field Crops Research, 147, 40–53, https://doi.org/10.1016/j.fcr.2013.03.014, 2013. a

Salonen, A.-R., Soinne, H., Creamer, R., Lemola, R., Ruoho, N., Uhlgren, O., de Goede, R., and Heinonsalo, J.: Assessing the effect of arable management practices on carbon storage and fractions after 24 years in boreal conditions of Finland, Geoderma Regional, 34, e00678, https://doi.org/10.1016/j.geodrs.2023.e00678, 2023. a

Samson, M.-E., Chantigny, M. H., Vanasse, A., Menasseri-Aubry, S., Royer, I., and Angers, D. A.: Management practices differently affect particulate and mineral-associated organic matter and their precursors in arable soils, Soil Biology and Biochemistry, 148, 107867, https://doi.org/10.1016/j.soilbio.2020.107867, 2020. a

Sanderman, J., Hengl, T., and Fiske, G. J.: Soil carbon debt of 12,000 years of human land use, Proceedings of the National Academy of Sciences, 114, 9575–9580, https://doi.org/10.1073/pnas.1706103114, 2017. a, b

Scharlemann, J. P., Tanner, E. V., Hiederer, R., and Kapos, V.: Global soil carbon: understanding and managing the largest terrestrial carbon pool, Carbon Management, 5, 81–91, https://doi.org/10.4155/cmt.13.77, 2014. a

Schlesinger, W. H. and Amundson, R.: Managing for soil carbon sequestration: Let’s get realistic, Global Change Biology, 25, 386–389, https://doi.org/10.1111/gcb.14478, 2019. a

Schrumpf, M. and Kaiser, K.: Large differences in estimates of soil organic carbon turnover in density fractions by using single and repeated radiocarbon inventories, Geoderma, 239–240, 168–178, https://doi.org/10.1016/j.geoderma.2014.09.025, 2015. a

Schrumpf, M., Kaiser, K., Mayer, A., Hempel, G., and Trumbore, S.: Age distribution, extractability, and stability of mineral-bound organic carbon in central European soils, Biogeosciences, 18, 1241–1257, https://doi.org/10.5194/bg-18-1241-2021, 2021. a

Schulte, R. P. O., Creamer, R. E., Donnellan, T., Farrelly, N., Fealy, R., O’Donoghue, C., and O’hUallachain, D.: Functional land management: A framework for managing soil-based ecosystem services for the sustainable intensification of agriculture, Environmental Science & Policy, 38, 45–58, https://doi.org/10.1016/j.envsci.2013.10.002, 2014. a

Shumba, A., Chikowo, R., Thierfelder, C., Corbeels, M., Six, J., and Cardinael, R.: Mulch application as the overarching factor explaining increase in soil organic carbon stocks under conservation agriculture in two 8-year-old experiments in Zimbabwe, SOIL, 10, 151–165, https://doi.org/10.5194/soil-10-151-2024, 2024. a

Sierra, C. A., Ahrens, B., Bolinder, M. A., Braakhekke, M. C., von Fromm, S., Kätterer, T., Luo, Z., Parvin, N., and Wang, G.: Carbon sequestration in the subsoil and the time required to stabilize carbon for climate change mitigation, Global Change Biology, 30, e17153, https://doi.org/10.1111/gcb.17153, 2024. a, b, c

Six, J., Doetterl, S., Laub, M., Müller, C. R., and Van de Broek, M.: The six rights of how and when to test for soil C saturation, SOIL, 10, 275–279, https://doi.org/10.5194/soil-10-275-2024, 2024. a

Slessarev, E. W., Chadwick, O. A., Sokol, N. W., Nuccio, E. E., and Pett-Ridge, J.: Rock weathering controls the potential for soil carbon storage at a continental scale, Biogeochemistry, 157, 1–13, https://doi.org/10.1007/s10533-021-00859-8, 2022. a

Sokol, N. W., Whalen, E. D., Jilling, A., Kallenbach, C., Pett-Ridge, J., and Georgiou, K.: Global distribution, formation and fate of mineral-associated soil organic matter under a changing climate: A trait-based perspective, Functional Ecology, 36, 1411–1429, https://doi.org/10.1111/1365-2435.14040, 2022. a

Sommer, R., Paul, B. K., Mukalama, J., and Kihara, J.: Reducing losses but failing to sequester carbon in soils – the case of Conservation Agriculture and Integrated Soil Fertility Management in the humid tropical agro-ecosystem of Western Kenya, Agriculture, Ecosystems & Environment, 254, 82–91, https://doi.org/10.1016/j.agee.2017.11.004, 2018. a, b

Sprunger, C. D., Culman, S. W., Palm, C. A., Thuita, M., and Vanlauwe, B.: Long-term application of low C:N residues enhances maize yield and soil nutrient pools across Kenya, Nutrient Cycling in Agroecosystems, 114, 261–276, https://doi.org/10.1007/s10705-019-10005-4, 2019. a

Stewart, C. E., Paustian, K., Conant, R. T., Plante, A. F., and Six, J.: Soil carbon saturation: concept, evidence and evaluation, Biogeochemistry, 86, 19–31, https://doi.org/10.1007/s10533-007-9140-0, 2007. a

Tougma, I. A., Van de Broek, M., Six, J., Gaiser, T., Holz, M., Zentgraf, I., and Webber, H.: AMPSOM: A measureable pool soil organic carbon and nitrogen model for arable cropping systems, Environmental Modelling & Software, 185, 106291, https://doi.org/10.1016/j.envsoft.2024.106291, 2025. a

Trigalet, S., Van Oost, K., Roisin, C., and van Wesemael, B.: Carbon associated with clay and fine silt as an indicator for SOC decadal evolution under different residue management practices, Agriculture, Ecosystems & Environment, 196, 1–9, https://doi.org/10.1016/j.agee.2014.06.011, 2014. a

Van de Broek, M.: Van de Broek et al., Dataset for SOIL article: Limited effect of organic matter addition on stabilised organic carbon in four tropical arable soils, Zenodo [data set], https://doi.org/10.5281/zenodo.18225456, 2026. a

Van de Broek, M., Henriksen, C. B., Ghaley, B. B., Lugato, E., Kuzmanovski, V., Trajanov, A., Debeljak, M., Sandén, T., Spiegel, H., Decock, C., Creamer, R., and Six, J.: Assessing the Climate Regulation Potential of Agricultural Soils Using a Decision Support Tool Adapted to Stakeholders' Needs and Possibilities, Frontiers in Environmental Science, 7, https://doi.org/10.3389/fenvs.2019.00131, 2019. a

van Groenigen, J. W., van Kessel, C., Hungate, B. A., Oenema, O., Powlson, D. S., and van Groenigen, K. J.: Sequestering Soil Organic Carbon: A Nitrogen Dilemma, Environmental Science & Technology, 51, 4738–4739, https://doi.org/10.1021/acs.est.7b01427, 2017. a

van Ittersum, M. K., van Bussel, L. G. J., Wolf, J., Grassini, P., van Wart, J., Guilpart, N., Claessens, L., de Groot, H., Wiebe, K., Mason-D’Croz, D., Yang, H., Boogaard, H., van Oort, P. A. J., van Loon, M. P., Saito, K., Adimo, O., Adjei-Nsiah, S., Agali, A., Bala, A., Chikowo, R., Kaizzi, K., Kouressy, M., Makoi, J. H. J. R., Ouattara, K., Tesfaye, K., and Cassman, K. G.: Can sub-Saharan Africa feed itself?, Proceedings of the National Academy of Sciences, 113, 14964–14969, https://doi.org/10.1073/pnas.1610359113, 2016. a

VandenBygaart, A. J.: Comments on soil carbon 4 per mille by Minasny et al. 2017, Geoderma, 309, 113–114, https://doi.org/10.1016/j.geoderma.2017.05.024, 2018. a, b

Vanlauwe, B., Bationo, A., Chianu, J., Giller, K., Merckx, R., Mokwunye, U., Ohiokpehai, O., Pypers, P., Tabo, R., Shepherd, K., Smaling, E., Woomer, P., and Sanginga, N.: Integrated Soil Fertility Management: Operational Definition and Consequences for Implementation and Dissemination, Outlook on Agriculture, 39, 17–24, https://doi.org/10.5367/000000010791169998, 2010. a

Vanlauwe, B., Wendt, J., Giller, K. E., Corbeels, M., Gerard, B., and Nolte, C.: A fourth principle is required to define Conservation Agriculture in sub-Saharan Africa: The appropriate use of fertilizer to enhance crop productivity, Field Crops Research, 155, 10–13, https://doi.org/10.1016/j.fcr.2013.10.002, 2014. a

von Fromm, S. F., Hoyt, A. M., Lange, M., Acquah, G. E., Aynekulu, E., Berhe, A. A., Haefele, S. M., McGrath, S. P., Shepherd, K. D., Sila, A. M., Six, J., Towett, E. K., Trumbore, S. E., Vågen, T.-G., Weullow, E., Winowiecki, L. A., and Doetterl, S.: Continental-scale controls on soil organic carbon across sub-Saharan Africa, SOIL, 7, 305–332, https://doi.org/10.5194/soil-7-305-2021, 2021. a, b

von Fromm, S. F., Doetterl, S., Butler, B. M., Aynekulu, E., Berhe, A. A., Haefele, S. M., McGrath, S. P., Shepherd, K. D., Six, J., Tamene, L., Tondoh, E. J., Vågen, T.-G., Winowiecki, L. A., Trumbore, S. E., and Hoyt, A. M.: Controls on timescales of soil organic carbon persistence across sub-Saharan Africa, Global Change Biology, 30, e17089, https://doi.org/10.1111/gcb.17089, 2024a. a

von Fromm, S. F., Hoyt, A. M., Sierra, C. A., Georgiou, K., Doetterl, S., and Trumbore, S. E.: Controls and relationships of soil organic carbon abundance and persistence vary across pedo-climatic regions, Global Change Biology, 30, e17320, https://doi.org/10.1111/gcb.17320, 2024b. a

Yost, J. L. and Hartemink, A. E.: How deep is the soil studied – an analysis of four soil science journals, Plant and Soil, 452, 5–18, https://doi.org/10.1007/s11104-020-04550-z, 2020. a

Zuur, A. F., Ieno, E. N., Walker, N., Saveliev, A. A., and Smith, G. M.: Mixed effects models and extensions in ecology with R, Statistics for Biology and Health, Springer, New York, NY, ISBN 978-0-387-87458-6, https://doi.org/10.1007/978-0-387-87458-6, 2009. a

Download
Short summary
To improve soil health and increase crop yields, organic matter is commenly added to arable soils. Studying the effect of different organic resources on soil organic carbon sequestration in four long-term field trials in Kenya, we found that only a small portion (< 7 %) of added organic carbon was stabilised, which was only observed in the top 15 cm of the soil. These results underline the challenges associated with increasing the organic carbon content of tropical arable soils.
Share